W tym zadaniu oblicz wysokość rombu, którego pole wynosi 32, a jedna z przekątnych ma długość 4.
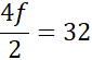
2f = 32 / : 2
f = 16
82 + 22 = a2
a2 = 16 + 4 = 20
Wzór na pole rombu to
e = 4, P = 32
2f = 32 / : 2
f = 16
Zauważ, że przekątne dzielą romb na trójkąty prostokątne o przeciwprostokątnej, która jest bokiem rombu, a przyprostokątne to połowy przekątnych. Skorzystaj z twierdzenia Pitagorasa a2 + b2 = c2, gdzie a i b to przyprostokątne, natomiast c to przeciwprostokątna trójkąta prostokątnego.
82 + 22 = a2
a2 = 16 + 4 = 20
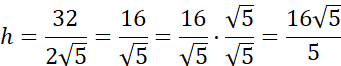
Pole rombu można również zapisać wzorem P = a ∙ h
Usuń niewymierność z mianownika.
Zadanie 1
14Zadanie 4
49Zadanie 6
49Zadanie 8
50Zadanie 9
50Zadanie 10
50Zadanie 13
50Zadanie 16
51Zadanie 18
51Zadanie 19
51Zadanie 20
52Zadanie 21
52Ćwiczenie A
53Zadanie 1
54Zadanie 2
54Zadanie 3
54Zadanie 4
54Zadanie 6
54Zadanie 10
55Ćwiczenie A
58Ćwiczenie D
58Zadanie 1
60Zadanie 2
60Zadanie 5
60Zadanie 9
60Zadanie 10
61Zadanie 12
61Zadanie 15
62Zadanie 19
62Zadanie 20
62Zadanie 22
63Ćwiczenie A
64Ćwiczenie C
67Zadanie 1
69Zadanie 8
70Zadanie 18
71Zadanie 20
71Zadanie 21
71Zadanie 26
72Zadanie D
76Zadanie 1
76Zadanie 3
77Zadanie 11
77Zadanie 14
78Zadanie 17
79Zadanie 19
79