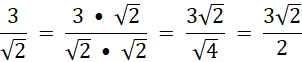
Twoim zadaniem jest usunięcie niewymierności z mianownika.
Aby usunąć niewymierności w mianowniku, wystarczy przemnożyć licznik i mianownik przez pierwiastek, który występuje w mianowniku.
Zadanie C
10Zadanie 1
12Zadanie 5
12Zadanie 7
13Zadanie 8
13Zadanie A
14Zadanie C
14Zadanie D
14Zadanie G
14Ćwiczenie B
15Zadanie 2
18Zadanie 3
18Zadanie 4
18Zadanie 5
18Zadanie 6
18Zadanie 7
18Zadanie 8
18Zadanie 9
19Zadanie 10
19Zadanie 11
19Zadanie 13
19Zadanie A
20Zadanie B
20Ćwiczenie A
20Ćwiczenie B
22Zadanie 1
23Zadanie 2
23Zadanie 7
24Zadanie 8
25Zadanie 10
25Zadanie 11
25Zadanie 12
25Zadanie 13
26Zadanie 15
26Zadanie 16
26Zadanie 17
26Zadanie D
27Zadanie E
27Zadanie 1
29Zadanie 2
29Zadanie 3
29Zadanie 4
29Zadanie 5
30Zadanie 8
30Zadanie 9
30Zadanie 10
31Zadanie 11
31Zadanie 12
31Zadanie 15
31Zadanie 16
32Zadanie 17
32Zadanie 18
32Zadanie 19
32Zadanie 20
32Zadanie 1
35Zadanie 2
35Zadanie 4
35Zadanie 5
35Zadanie 6
36Zadanie 7
36Zadanie 8
36Zadanie 9
36Zadanie 10
36Zadanie 11
36Zadanie 12
36Zadanie 13
37Zadanie 14
37Zadanie 15
37Zadanie 16
37Zadanie 5
38Zadanie 9
39Zadanie 12
39Zadanie 3
40Zadanie 6
40Zadanie 7
40Zadanie 8
40Zadanie 13
41Zadanie 14
41Zadanie 15
41Zadanie 16
41Zadanie 17
41Zadanie 18
41Zadanie 19
41Zadanie 20
41Zadanie 21
41Zadanie 22
41Zadanie 23
41Zadanie 24
40Zadanie 25
42Zadanie 26
42Zadanie 27
42Zadanie 29
42Zadanie 30
42Zadanie 31
42Zadanie 35
43Zadanie 36
43Zadanie 38
43Zadanie 39
43Zadanie 40
44Zadanie 41
44Zadanie 42
44Zadanie 43
44Zadanie 44
44Zadanie 45
44Zadanie 48
44Zadanie 50
44Zadanie 52
44Zadanie 53
44