Zadanie

Zapisz podane wyrażenie w najprostszej formie, a następnie zastosuj podstawienie i oblicz wartość liczbową.

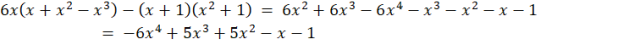
Rozwiązanie

Wyjaśnienie

Zadania z tego działu
2. Język matematyki
60
2.1. Zbiory
61

Zadanie 1.

61

Zadanie 2.

61

Zadanie 4.

61

Zadanie 5.

61

Zadanie 7.

62

Zadanie 8.

62

Zadanie 9.

62

Zadanie 10.

62

Zadanie 11.

62

Zadanie 12.

62

Zadanie 13.

62

Zadanie 14.

63

Zadanie 15.

63

Zadanie 16.

63

Zadanie 17.

63

Zadanie 21.

64

Zadanie 23.

64

Zadanie 24.

64

Zadanie 25.

64

Zadanie 26.

64

Zadanie 29.

64
2.2. Działania na zbiorach
65

Zadanie 1.

65

Zadanie 2.

65

Zadanie 3.

65

Zadanie 5.

65

Zadanie 6.

65

Zadanie 7.

65

Zadanie 9.

66

Zadanie 10.

66

Zadanie 12.

66

Zadanie 13.

66

Zadanie 14.

66

Zadanie 15.

66

Zadanie 16.

67

Zadanie 17.

67

Zadanie 18.

67

Zadanie 21.

67

Zadanie 22.

67

Zadanie 24.

68

Zadanie 26.

68

Zadanie 27.

68

Zadanie 28.

68
2.3. Przedziały
69

Zadanie 1.

69

Zadanie 2.

69

Zadanie 3.

69

Zadanie 4.

69

Zadanie 5.

69

Zadanie 8.

69

Zadanie 9.

70

Zadanie 10.

70

Zadanie 12.

70

Zadanie 14.

70

Zadanie 15.

70

Zadanie 16.

70

Zadanie 17.

70

Zadanie 18.

71

Zadanie 20.

71

Zadanie 21.

71

Zadanie 22.

71

Zadanie 25.

72

Zadanie 26.

72

Zadanie 28.

72

Zadanie 29.

72
2.4. Działania na przedziałach
73

Zadanie 1.

73

Zadanie 2.

73

Zadanie 3.

73

Zadanie 4.

73

Zadanie 5.

73

Zadanie 6.

73

Zadanie 7.

73

Zadanie 9.

74

Zadanie 10.

74

Zadanie 11.

74

Zadanie 12.

74

Zadanie 13.

74

Zadanie 14.

74

Zadanie 15.

74

Zadanie 16.

74

Zadanie 17.

75

Zadanie 19.

75

Zadanie 20.

75

Zadanie 21.

75

Zadanie 23.

75

Zadanie 25.

75

Zadanie 26.

76

Zadanie 27.

76

Zadanie 28.

76

Zadanie 29.

76

Zadanie 30.

76

Zadanie 31.

76

Zadanie 32.

76

Zadanie 33.

76
2.5. Rozwiązywanie nierówności
77

Zadanie 2.

77

Zadanie 3.

77

Zadanie 4.

77

Zadanie 5.

77

Zadanie 6.

77

Zadanie 8.

77

Zadanie 10.

78

Zadanie 13.

78

Zadanie 16.

78

Zadanie 18.

78

Zadanie 20.

79

Zadanie 21.

79

Zadanie 22.

79

Zadanie 23.

79

Zadanie 24.

79

Zadanie 31.

80

Zadanie 32.

80

Zadanie 33.

80
2.6. Wyłączanie jednomianu przed nawias
81

Zadanie 1.

81

Zadanie 2.

81

Zadanie 3.

81

Zadanie 4.

81

Zadanie 5.

81

Zadanie 9.

82

Zadanie 10.

82

Zadanie 11.

82

Zadanie 12.

82

Zadanie 13.

82

Zadanie 14.

82

Zadanie 15.

83

Zadanie 19.

83

Zadanie 21.

83

Zadanie 22.

83

Zadanie 23.

84

Zadanie 24.

84

Zadanie 26.

84

Zadanie 27.

84

Zadanie 28.

84

Zadanie 29.

84
2.7. Mnożenie sum algebraicznych
85

Zadanie 1.

85

Zadanie 2.

85

Zadanie 3.

85

Zadanie 4.

85

Zadanie 6.

85

Zadanie 7.

86

Zadanie 8.

86

Zadanie 10.

86

Zadanie 11.

86

Zadanie 13.

86

Zadanie 14.

87

Zadanie 15.

87

Zadanie 16.

87

Zadanie 19.

87

Zadanie 20.

87

Zadanie 21.

88

Zadanie 22.

88

Zadanie 23.

88

Zadanie 24.

88

Zadanie 25.

88

Zadanie 27.

88
2.9. Zastosowanie przekształceń algebraicznych
92

Zadanie 1.

92

Zadanie 2.

92

Zadanie 3.

92

Zadanie 4.

92

Zadanie 6.

92

Zadanie 9.

93

Zadanie 10.

93

Zadanie 11.

93

Zadanie 12.

93

Zadanie 13.

93

Zadanie 14.

93

Zadanie 15.

94

Zadanie 16.

94

Zadanie 17.

94

Zadanie 18.

94

Zadanie 21.

94

Zadanie 22.

94

Zadanie 24.

94

Zadanie 25.

95

Zadanie 28.

95
2.10. Wartość bezwzględna
96

Zadanie 1.

96

Zadanie 2.

96

Zadanie 3.

96

Zadanie 5.

96

Zadanie 6.

96

Zadanie 7.

96

Zadanie 8.

96

Zadanie 9.

97

Zadanie 10.

97

Zadanie 11.

97

Zadanie 12.

97

Zadanie 13.

97

Zadanie 14.

97

Zadanie 15.

97

Zadanie 16.

98

Zadanie 17.

98

Zadanie 18.

98

Zadanie 19.

98

Zadanie 20.

98

Zadanie 21.

98

Zadanie 22.

98

Zadanie 23.

98

Zadanie 24.

98

Zadanie 25.

98

Zadanie 26.

99

Zadanie 27.

99

Zadanie 28.

99

Zadanie 29.

99

Zadanie 30.

99

Zadanie 31.

99

Zadanie 32.

99

Zadanie 33.

99

Zadanie 34.

99

Zadanie 35.

99
2.11. Własności wartości bezwzględnej
100

Zadanie 1.

100

Zadanie 2.

100

Zadanie 3.

100

Zadanie 4.

100

Zadanie 5.

100

Zadanie 6.

100

Zadanie 7.

101

Zadanie 8.

101

Zadanie 9.

101

Zadanie 10.

101

Zadanie 12.

101

Zadanie 13.

101

Zadanie 14.

101

Zadanie 15.

101

Zadanie 17.

102

Zadanie 18.

102

Zadanie 19.

102

Zadanie 20.

102

Zadanie 21.

102

Zadanie 22.

102

Zadanie 23.

103

Zadanie 27.

103

Zadanie 28.

103

Zadanie 29.

103

Zadanie 30.

103

Zadanie 31.

103

Zadanie 32.

104

Zadanie 33.

104

Zadanie 34.

104

Zadanie 35.

104

Zadanie 36.

104

Zadanie 37.

104
2.12. Powtórzenie
105

Zadanie 4.

105

Zadanie 5.

105

Zadanie 6.

105

Zadanie 7.

105

Zadanie 9.

105

Zadanie 11.

106

Zadanie 12.

106

Zadanie 13.

106

Zadanie 15.

106

Zadanie 17.

107

Zadanie 18.

107

Zadanie 20.

107

Zadanie 21.

107

Zadanie 22.

107

Zadanie 23.

107

Zadanie 24.

107

Zadanie 25.

108

Zadanie 26.

108

Zadanie 27.

108

Zadanie 28.

108

Zadanie 29.

108

Zadanie 31.

108

Zadanie 32.

108

Zadanie 33.

108

Zadanie 35.

108

Zadanie 36.

109

Zadanie 40.

109

Zadanie 41.

109

Zadanie 42.

109

Zadanie 43.

109

Zadanie 44.

109

Zadanie 45.

109