Zapisz podane wyrażenie w najprostszej formie.
Połącz ze sobą nawiasy: pierwszy z czwartym ze wzoru na
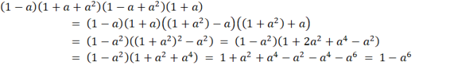
Zadanie 1.
61Zadanie 2.
61Zadanie 4.
61Zadanie 5.
61Zadanie 7.
62Zadanie 8.
62Zadanie 9.
62Zadanie 10.
62Zadanie 11.
62Zadanie 12.
62Zadanie 13.
62Zadanie 14.
63Zadanie 15.
63Zadanie 16.
63Zadanie 17.
63Zadanie 21.
64Zadanie 23.
64Zadanie 24.
64Zadanie 25.
64Zadanie 26.
64Zadanie 29.
64Zadanie 1.
65Zadanie 2.
65Zadanie 3.
65Zadanie 5.
65Zadanie 6.
65Zadanie 7.
65Zadanie 9.
66Zadanie 10.
66Zadanie 12.
66Zadanie 13.
66Zadanie 14.
66Zadanie 15.
66Zadanie 16.
67Zadanie 17.
67Zadanie 18.
67Zadanie 21.
67Zadanie 22.
67Zadanie 24.
68Zadanie 26.
68Zadanie 27.
68Zadanie 28.
68Zadanie 1.
69Zadanie 2.
69Zadanie 3.
69Zadanie 4.
69Zadanie 5.
69Zadanie 8.
69Zadanie 9.
70Zadanie 10.
70Zadanie 12.
70Zadanie 14.
70Zadanie 15.
70Zadanie 16.
70Zadanie 17.
70Zadanie 18.
71Zadanie 20.
71Zadanie 21.
71Zadanie 22.
71Zadanie 25.
72Zadanie 26.
72Zadanie 28.
72Zadanie 29.
72Zadanie 1.
73Zadanie 2.
73Zadanie 3.
73Zadanie 4.
73Zadanie 5.
73Zadanie 6.
73Zadanie 7.
73Zadanie 9.
74Zadanie 10.
74Zadanie 11.
74Zadanie 12.
74Zadanie 13.
74Zadanie 14.
74Zadanie 15.
74Zadanie 16.
74Zadanie 17.
75Zadanie 19.
75Zadanie 20.
75Zadanie 21.
75Zadanie 23.
75Zadanie 25.
75Zadanie 26.
76Zadanie 27.
76Zadanie 28.
76Zadanie 29.
76Zadanie 30.
76Zadanie 31.
76Zadanie 32.
76Zadanie 33.
76Zadanie 2.
77Zadanie 3.
77Zadanie 4.
77Zadanie 5.
77Zadanie 6.
77Zadanie 8.
77Zadanie 10.
78Zadanie 13.
78Zadanie 16.
78Zadanie 18.
78Zadanie 20.
79Zadanie 21.
79Zadanie 22.
79Zadanie 23.
79Zadanie 24.
79Zadanie 31.
80Zadanie 32.
80Zadanie 33.
80Zadanie 1.
81Zadanie 2.
81Zadanie 3.
81Zadanie 4.
81Zadanie 5.
81Zadanie 9.
82Zadanie 10.
82Zadanie 11.
82Zadanie 12.
82Zadanie 13.
82Zadanie 14.
82Zadanie 15.
83Zadanie 19.
83Zadanie 21.
83Zadanie 22.
83Zadanie 23.
84Zadanie 24.
84Zadanie 26.
84Zadanie 27.
84Zadanie 28.
84Zadanie 29.
84Zadanie 1.
85Zadanie 2.
85Zadanie 3.
85Zadanie 4.
85Zadanie 6.
85Zadanie 7.
86Zadanie 8.
86Zadanie 10.
86Zadanie 11.
86Zadanie 13.
86Zadanie 14.
87Zadanie 15.
87Zadanie 16.
87Zadanie 19.
87Zadanie 20.
87Zadanie 21.
88Zadanie 22.
88Zadanie 23.
88Zadanie 24.
88Zadanie 25.
88Zadanie 27.
88Zadanie 1.
89Zadanie 2.
89Zadanie 3.
89Zadanie 4.
89Zadanie 5.
89Zadanie 6.
89Zadanie 7.
89Zadanie 8.
90Zadanie 9.
90Zadanie 10.
90Zadanie 11.
90Zadanie 12.
90Zadanie 13.
91Zadanie 14.
91Zadanie 16.
91Zadanie 17.
91Zadanie 1.
92Zadanie 2.
92Zadanie 3.
92Zadanie 4.
92Zadanie 6.
92Zadanie 9.
93Zadanie 10.
93Zadanie 11.
93Zadanie 12.
93Zadanie 13.
93Zadanie 14.
93Zadanie 15.
94Zadanie 16.
94Zadanie 17.
94Zadanie 18.
94Zadanie 21.
94Zadanie 22.
94Zadanie 24.
94Zadanie 25.
95Zadanie 28.
95Zadanie 1.
96Zadanie 2.
96Zadanie 3.
96Zadanie 5.
96Zadanie 6.
96Zadanie 7.
96Zadanie 8.
96Zadanie 9.
97Zadanie 10.
97Zadanie 11.
97Zadanie 12.
97Zadanie 13.
97Zadanie 14.
97Zadanie 15.
97Zadanie 16.
98Zadanie 17.
98Zadanie 18.
98Zadanie 19.
98Zadanie 20.
98Zadanie 21.
98Zadanie 22.
98Zadanie 23.
98Zadanie 24.
98Zadanie 25.
98Zadanie 26.
99Zadanie 27.
99Zadanie 28.
99Zadanie 29.
99Zadanie 30.
99Zadanie 31.
99Zadanie 32.
99Zadanie 33.
99Zadanie 34.
99Zadanie 35.
99Zadanie 1.
100Zadanie 2.
100Zadanie 3.
100Zadanie 4.
100Zadanie 5.
100Zadanie 6.
100Zadanie 7.
101Zadanie 8.
101Zadanie 9.
101Zadanie 10.
101Zadanie 12.
101Zadanie 13.
101Zadanie 14.
101Zadanie 15.
101Zadanie 17.
102Zadanie 18.
102Zadanie 19.
102Zadanie 20.
102Zadanie 21.
102Zadanie 22.
102Zadanie 23.
103Zadanie 27.
103Zadanie 28.
103Zadanie 29.
103Zadanie 30.
103Zadanie 31.
103Zadanie 32.
104Zadanie 33.
104Zadanie 34.
104Zadanie 35.
104Zadanie 36.
104Zadanie 37.
104Zadanie 4.
105Zadanie 5.
105Zadanie 6.
105Zadanie 7.
105Zadanie 9.
105Zadanie 11.
106Zadanie 12.
106Zadanie 13.
106Zadanie 15.
106Zadanie 17.
107Zadanie 18.
107Zadanie 20.
107Zadanie 21.
107Zadanie 22.
107Zadanie 23.
107Zadanie 24.
107Zadanie 25.
108Zadanie 26.
108Zadanie 27.
108Zadanie 28.
108Zadanie 29.
108Zadanie 31.
108Zadanie 32.
108Zadanie 33.
108Zadanie 35.
108Zadanie 36.
109Zadanie 40.
109Zadanie 41.
109Zadanie 42.
109Zadanie 43.
109Zadanie 44.
109Zadanie 45.
109