Oblicz objętość wskazanego graniastosłupa prostego o wysokości 8 dm, mającego w podstawie romb o przekątnych x cm, (x + 1) cm oraz graniastosłupa prostego mającego w podstawie trójkąt prostokątny o przyprostokątnych: x i (x + 1) cm i wysokości 4 dm, a następnie oblicz różnicę objętości.
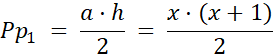
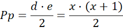
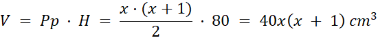
d = x cm
e = (x + 1) cm
H = 8 dm = 80 cm
V = Pp · H
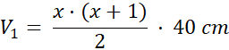
H1 = 4 dm = 40 cm
a = x
h = (x + 1) cm
V1 = Pp1 · H1
V1 = 20x(x + 1) cm3
różnica: V – V1
Objętość prostopadłościanu obliczamy mnożąc pole powierzchni jego podstawy i jego wysokości:
V = a · b · h = Pp · H
Zadanie 1.
98Zadanie 3.
99Zadanie 5.
99Zadanie 6.
100Zadanie 7.
100Zadanie 8.
100Zadanie 10.
101Zadanie 17.
103Zadanie 20.
104Ćwiczenie Sprawdź się! 2.
105Zadanie 1.
107Zadanie 2.
108Zadanie 3.
108Zadanie 8.
108Zadanie 9.
108Zadanie 12.
109Zadanie 14.
109Zadanie Sprawdź się! 1.
110Zadanie 2.
111Zadanie 3.
112Zadanie 10.
113Zadanie 14.
118Zadanie 16.
119Ćwiczenie 1.
120Ćwiczenie 2.
120