Wiedząc, że krawędź podstawy ostrosłupa prawidłowego czworokątnego ma długość 3 cm, a wysokość ściany bocznej 2 cm, spróbuj wyliczyć jego pole boczne.
Pb = 4 · P1
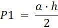
a = 3 cm
h = 2 cm
P1 = 3 cm2
Pb = 4 · 3 cm2 = 12 cm2
Pole jednej ściany bocznej obliczysz ze wzoru:
Pamiętaj, że masz cztery takie ściany.
Zadanie 1.
98Zadanie 3.
99Zadanie 5.
99Zadanie 6.
100Zadanie 7.
100Zadanie 8.
100Zadanie 10.
101Zadanie 17.
103Zadanie 20.
104Ćwiczenie Sprawdź się! 2.
105Zadanie 1.
107Zadanie 2.
108Zadanie 3.
108Zadanie 8.
108Zadanie 9.
108Zadanie 12.
109Zadanie 14.
109Zadanie Sprawdź się! 1.
110Zadanie 2.
111Zadanie 3.
112Zadanie 10.
113Zadanie 14.
118Zadanie 16.
119Ćwiczenie 1.
120Ćwiczenie 2.
120