Co można powiedzieć o objętości ostrosłupa prawidłowego trójkątnego, jeśli powiększy się dwukrotnie jego wysokość, za to krawędź podstawy zostanie pomniejszona dwukrotnie.
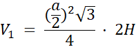
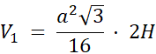
a – długość krawędzi podstawy
H – wysokość ostrosłupa
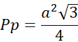
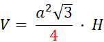
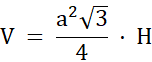
V = Pp · H
2H – zmieniona wysokość ostrosłupa
Odp.: Objętość zmniejszy się dwukrotnie.
Wypisz dane i podstaw je do wzorów, zauważ, że w objętości różnią się mianownikiem.
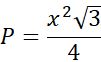
Pole trójkąta równobocznego obliczamy ze wzoru:
Zadanie 1.
98Zadanie 3.
99Zadanie 5.
99Zadanie 6.
100Zadanie 7.
100Zadanie 8.
100Zadanie 10.
101Zadanie 17.
103Zadanie 20.
104Ćwiczenie Sprawdź się! 2.
105Zadanie 1.
107Zadanie 2.
108Zadanie 3.
108Zadanie 8.
108Zadanie 9.
108Zadanie 12.
109Zadanie 14.
109Zadanie Sprawdź się! 1.
110Zadanie 2.
111Zadanie 3.
112Zadanie 10.
113Zadanie 14.
118Zadanie 16.
119Ćwiczenie 1.
120Ćwiczenie 2.
120