Ostrosłup czworokątny ma w podstawie trapez równoramienny. Ramię tego trapezu ma 3 cm oraz występuje w nim kąt rozwarty 120°. Bok ostrosłupa prostopadły do podstawy ma 4 cm i wychodzi z wierzchołka kąta rozwartego w trapezie. Podaj objętość bryły.
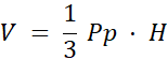
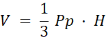
Objętość ostrosłupa obliczamy ze wzoru:
gdzie Pp to pole podstawy, a H to wysokość tego ostrosłupa.
Zadanie 1.
98Zadanie 3.
99Zadanie 5.
99Zadanie 6.
100Zadanie 7.
100Zadanie 8.
100Zadanie 10.
101Zadanie 17.
103Zadanie 20.
104Ćwiczenie Sprawdź się! 2.
105Zadanie 1.
107Zadanie 2.
108Zadanie 3.
108Zadanie 8.
108Zadanie 9.
108Zadanie 12.
109Zadanie 14.
109Zadanie Sprawdź się! 1.
110Zadanie 2.
111Zadanie 3.
112Zadanie 10.
113Zadanie 14.
118Zadanie 16.
119Ćwiczenie 1.
120Ćwiczenie 2.
120