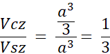
Wskaż jaką częścią objętości sześcianu jest objętość czworościanu, którego krawędzie otrzymano przez połączenie wierzchołków tego pierwszego.
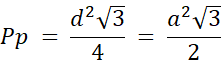
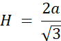
a – bok sześcianu
Vsz = a3
d – krawędź czworościanu
Zauważ, że bok czworościanu ma długość równą przekątnej boku sześcianu.
Zadanie 1.
98Zadanie 3.
99Zadanie 5.
99Zadanie 6.
100Zadanie 7.
100Zadanie 8.
100Zadanie 10.
101Zadanie 17.
103Zadanie 20.
104Ćwiczenie Sprawdź się! 2.
105Zadanie 1.
107Zadanie 2.
108Zadanie 3.
108Zadanie 8.
108Zadanie 9.
108Zadanie 12.
109Zadanie 14.
109Zadanie Sprawdź się! 1.
110Zadanie 2.
111Zadanie 3.
112Zadanie 10.
113Zadanie 14.
118Zadanie 16.
119Ćwiczenie 1.
120Ćwiczenie 2.
120