Wiedząc, że prostokąt o krawędziach 12 cm i 8 cm to podstawa ostrosłupa o wysokości 20 cm, podaj objętość bryły.
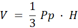
H = 20 cm
a = 12 cm
b = 8 cm
Pp = a · b
Pp = 12 · 8 = 96 cm2
Odp.: Objętość tego ostrosłupa wynosi 640 cm3.
Objętość ostrosłupa obliczamy ze wzoru:
gdzie Pp to pole podstawy, a H to wysokość tego ostrosłupa.
Zadanie 1.
98Zadanie 3.
99Zadanie 5.
99Zadanie 6.
100Zadanie 7.
100Zadanie 8.
100Zadanie 10.
101Zadanie 17.
103Zadanie 20.
104Ćwiczenie Sprawdź się! 2.
105Zadanie 1.
107Zadanie 2.
108Zadanie 3.
108Zadanie 8.
108Zadanie 9.
108Zadanie 12.
109Zadanie 14.
109Zadanie Sprawdź się! 1.
110Zadanie 2.
111Zadanie 3.
112Zadanie 10.
113Zadanie 14.
118Zadanie 16.
119Ćwiczenie 1.
120Ćwiczenie 2.
120