Wiedząc, że krawędź podstawy ostrosłupa prawidłowego trójkątnego wynosi x cm, a wysokość ściany bocznej jest o 1 dm dłuższa od niej, podaj pole całkowite tej bryły.
a = x cm
h = x + 1 dm = x + 10 cm
Zapisz dane i pamiętaj o zamianie jednostek. Podstaw liczby do wzoru na pole powierzchni całkowitej ostrosłupa, uwzględniając, że w podstawie jest trójkąt równoboczny, a ściany boczne to trójkąty przystające.
Pole trójkąta równobocznego obliczamy ze wzoru:
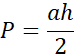
Pole trójkąta (ściany bocznej) możemy obliczyć ze wzoru:
Zadanie 1.
98Zadanie 3.
99Zadanie 5.
99Zadanie 6.
100Zadanie 7.
100Zadanie 8.
100Zadanie 10.
101Zadanie 17.
103Zadanie 20.
104Ćwiczenie Sprawdź się! 2.
105Zadanie 1.
107Zadanie 2.
108Zadanie 3.
108Zadanie 8.
108Zadanie 9.
108Zadanie 12.
109Zadanie 14.
109Zadanie Sprawdź się! 1.
110Zadanie 2.
111Zadanie 3.
112Zadanie 10.
113Zadanie 14.
118Zadanie 16.
119Ćwiczenie 1.
120Ćwiczenie 2.
120