Jeśli w ostrosłupie prawidłowym trójkątnym krawędź boczna wynosi 4a, a krawędź podstawy a cm to suma długości wszystkich krawędzi tego ostrosłupa jest równa A / B cm.
A. 19a
B. 15a
Natomiast pole powierzchni bocznej tego ostrosłupa wynosi C/D cm².
a – długość krawędzi podstawy
4a – długość krawędzi bocznej
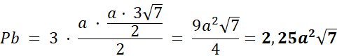
3 · a + 3 · 4a = 3a + 12a = 15a
Odp.: B. 15a
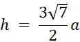
h2 + (0,5a)2 = (4a)2
h2 = 15,75a2
Zadanie 1.
98Zadanie 3.
99Zadanie 5.
99Zadanie 6.
100Zadanie 7.
100Zadanie 8.
100Zadanie 10.
101Zadanie 17.
103Zadanie 20.
104Ćwiczenie Sprawdź się! 2.
105Zadanie 1.
107Zadanie 2.
108Zadanie 3.
108Zadanie 8.
108Zadanie 9.
108Zadanie 12.
109Zadanie 14.
109Zadanie Sprawdź się! 1.
110Zadanie 2.
111Zadanie 3.
112Zadanie 10.
113Zadanie 14.
118Zadanie 16.
119Ćwiczenie 1.
120Ćwiczenie 2.
120