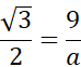
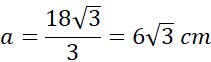
a – długość boku rombu
h – wysokość rombu
h = 9 cm
α = 60°
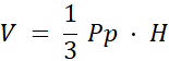
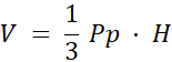
H = 2a
Pp = a · h
Odp.: C. 648 cm3
Objętość ostrosłupa obliczamy ze wzoru:
gdzie Pp to pole podstawy, a H to wysokość tego ostrosłupa.
W podstawie jest romb, więc skorzystaj ze wzoru na pole rombu: a · h, gdzie a to długość boku rombu, a h to wysokość tego rombu.
Skorzystaj również z twierdzenia Pitagorasa: