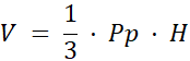
Podaj objętość ostrosłupa, jeśli wiesz, że jest to ostrosłup prawidłowy trójkątny, jego wysokość to 10 cm, a krawędź podstawy ma długość 6 cm.
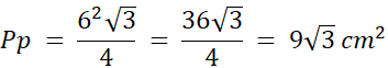
a = 6 cm
H = 10 cm
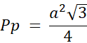
Ostrosłup prawidłowy trójkątny to ostrosłup, który w podstawie ma trójkąt równoboczny. Zastosuj wzór na objętość ostrosłupa:
Zadanie 1.
98Zadanie 3.
99Zadanie 5.
99Zadanie 6.
100Zadanie 7.
100Zadanie 8.
100Zadanie 10.
101Zadanie 17.
103Zadanie 20.
104Ćwiczenie Sprawdź się! 2.
105Zadanie 1.
107Zadanie 2.
108Zadanie 3.
108Zadanie 8.
108Zadanie 9.
108Zadanie 12.
109Zadanie 14.
109Zadanie Sprawdź się! 1.
110Zadanie 2.
111Zadanie 3.
112Zadanie 10.
113Zadanie 14.
118Zadanie 16.
119Ćwiczenie 1.
120Ćwiczenie 2.
120