Zmierz poszczególne krawędzie na rysunku i oblicz pole siatki ostrosłupa. Pamiętaj o zaokrągleniu do 1 mm2.
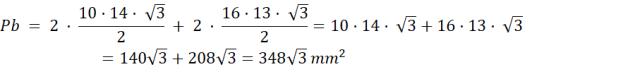
Pc = Pp + Pb
a = 10 mm
b = 16 mm
Pp = a · b
Pp = 10 · 16 = 160 mm2
Pc = Pp + Pb
Pole siatki ostrosłupa to suma pól wszystkich ścian tego ostrosłupa.
Zadanie 1.
98Zadanie 3.
99Zadanie 5.
99Zadanie 6.
100Zadanie 7.
100Zadanie 8.
100Zadanie 10.
101Zadanie 17.
103Zadanie 20.
104Ćwiczenie Sprawdź się! 2.
105Zadanie 1.
107Zadanie 2.
108Zadanie 3.
108Zadanie 8.
108Zadanie 9.
108Zadanie 12.
109Zadanie 14.
109Zadanie Sprawdź się! 1.
110Zadanie 2.
111Zadanie 3.
112Zadanie 10.
113Zadanie 14.
118Zadanie 16.
119Ćwiczenie 1.
120Ćwiczenie 2.
120