Sprawdź, co ma większe pole? Czy jest to czworościan foremny o krawędzi 3 cm, czy ostrosłup prawidłowy trójkątny o krawędzi podstawy 2 cm oraz wysokości ściany bocznej:
a = 2 cm
b = 3 cm
Odp.: Pole ostrosłupa prawidłowego trójkątnego jest większe od pola czworościanu foremnego.
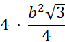
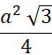
Podstaw dane z zadania do wzorów i oblicz pola obu figur, a następnie porównaj je. Pole czworościanu otrzymasz ze wzoru:
Pole ostrosłupa prawidłowego otrzymasz ze wzoru:
Zadanie 1.
98Zadanie 3.
99Zadanie 5.
99Zadanie 6.
100Zadanie 7.
100Zadanie 8.
100Zadanie 10.
101Zadanie 17.
103Zadanie 20.
104Ćwiczenie Sprawdź się! 2.
105Zadanie 1.
107Zadanie 2.
108Zadanie 3.
108Zadanie 8.
108Zadanie 9.
108Zadanie 12.
109Zadanie 14.
109Zadanie Sprawdź się! 1.
110Zadanie 2.
111Zadanie 3.
112Zadanie 10.
113Zadanie 14.
118Zadanie 16.
119Ćwiczenie 1.
120Ćwiczenie 2.
120