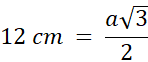
Wybierz, ile wynosi podstawa czworościanu foremnego, jeżeli wysokość jego ściany bocznej to 12 cm.
Oblicz, o ile mniejsze jest pole jego podstawy od pola bocznego.
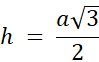
Wysokość ściany bocznej czworościanu foremnego to wysokość trójkąta równobocznego:
Zadanie 1.
98Zadanie 3.
99Zadanie 5.
99Zadanie 6.
100Zadanie 7.
100Zadanie 8.
100Zadanie 10.
101Zadanie 17.
103Zadanie 20.
104Ćwiczenie Sprawdź się! 2.
105Zadanie 1.
107Zadanie 2.
108Zadanie 3.
108Zadanie 8.
108Zadanie 9.
108Zadanie 12.
109Zadanie 14.
109Zadanie Sprawdź się! 1.
110Zadanie 2.
111Zadanie 3.
112Zadanie 10.
113Zadanie 14.
118Zadanie 16.
119Ćwiczenie 1.
120Ćwiczenie 2.
120