Podaj jaka jest objętość graniastosłupa, którego przekątna ściany bocznej tworzy z krawędzią boczną 30° i ma długość 8 cm.
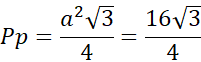
V = Pp · H
h = 8 cm
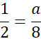
α = 90° - 30° = 60°
a = 4 cm
H2 + a2 = h2
H2 = 64 – 16 = 48
Odp.: Objętość wynosi 48 cm3.
Zauważ, że przekątna ściany bocznej tworzy z krawędzią podstawy kąt 60° i możesz obliczyć jej długość krawędzi za pomocą cosinusa.
Zadanie 1.
98Zadanie 3.
99Zadanie 5.
99Zadanie 6.
100Zadanie 7.
100Zadanie 8.
100Zadanie 10.
101Zadanie 17.
103Zadanie 20.
104Ćwiczenie Sprawdź się! 2.
105Zadanie 1.
107Zadanie 2.
108Zadanie 3.
108Zadanie 8.
108Zadanie 9.
108Zadanie 12.
109Zadanie 14.
109Zadanie Sprawdź się! 1.
110Zadanie 2.
111Zadanie 3.
112Zadanie 10.
113Zadanie 14.
118Zadanie 16.
119Ćwiczenie 1.
120Ćwiczenie 2.
120