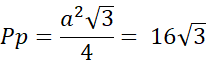
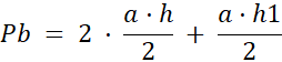
Jakie jest pole całkowite ostrosłupa trójkątnego z rysunku?
Pc = Pp + Pb
a = 8
h = 15
152 + 82 = 225 + 64 = 289 = z2
z = 17
Pole powierzchni całkowitej ostrosłupa to suma pola powierzchni podstawy i pola powierzchni bocznej.
Zadanie 1.
98Zadanie 3.
99Zadanie 5.
99Zadanie 6.
100Zadanie 7.
100Zadanie 8.
100Zadanie 10.
101Zadanie 17.
103Zadanie 20.
104Ćwiczenie Sprawdź się! 2.
105Zadanie 1.
107Zadanie 2.
108Zadanie 3.
108Zadanie 8.
108Zadanie 9.
108Zadanie 12.
109Zadanie 14.
109Zadanie Sprawdź się! 1.
110Zadanie 2.
111Zadanie 3.
112Zadanie 10.
113Zadanie 14.
118Zadanie 16.
119Ćwiczenie 1.
120Ćwiczenie 2.
120