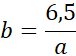
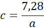
a · b = 6,5 m2
b · c = 7 m2
a · c = 7,28 m2
47,32 = 7a2 / : 7
6,76 = a2 /
a = 2,6 m
b = 6,5 : 2,6 = 2,5 m
c = 7,28 : 2,6 = 2,8 m
V = a · b · c = 2,6 m · 2,5 m · 2,8 m = 18,2 m3
Odp.: Objętość tego prostopadłościanu wynosi 18,2 m3.
Objętość prostopadłościanu obliczamy mnożąc wymiary jego długości, szerokości i wysokości.
V = a · b · c
Mając podane pola powierzchni ścian prostopadłościanu, możesz utworzyć układ trzech równań z trzema niewiadomymi i dzięki temu możesz obliczyć długości krawędzi.