Oblicz pole całkowite ostrosłupa prawidłowego trójkątnego, wiedząc, że krawędź podstawy ma długość 4 cm, a ściany boczne to trójkąty prostokątne.
a = 4 cm
h2 + h2 = a2
2h2 = 16 /: 2
h2 = 8
Zauważ, że krawędź podstawy jest przeciwprostokątną trójkąta prostokątnego, będącego ścianą boczną. Ściany boczne są trójkątami równoramiennymi.
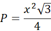
Pole trójkąta równobocznego obliczamy ze wzoru:
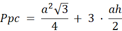
Pole trójkąta (ściany bocznej) możemy obliczyć ze wzoru:
Zadanie 1.
98Zadanie 3.
99Zadanie 5.
99Zadanie 6.
100Zadanie 7.
100Zadanie 8.
100Zadanie 10.
101Zadanie 17.
103Zadanie 20.
104Ćwiczenie Sprawdź się! 2.
105Zadanie 1.
107Zadanie 2.
108Zadanie 3.
108Zadanie 8.
108Zadanie 9.
108Zadanie 12.
109Zadanie 14.
109Zadanie Sprawdź się! 1.
110Zadanie 2.
111Zadanie 3.
112Zadanie 10.
113Zadanie 14.
118Zadanie 16.
119Ćwiczenie 1.
120Ćwiczenie 2.
120