wymiary prostopadłościanu: x, y z
pola trzech różnych ścian: xy, xz, yz
pola trzech różnych ścian: 12, 16, 48
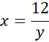
xy = 12
xz = 16
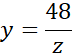
yz = 48
z2 = 64
z = 8
y =
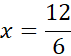
y = 6
x = 2
Wymiary prostopadłościanu: 2 x 6 x 8.
Wymiary prostopadłościanu, to długości boków jego ścian. Zapisz więc odpowiednio wzory na pola i przyrównaj do podanych w zadaniu. Gdy rozwiążesz układ równań z trzema niewiadomymi otrzymasz odpowiedzi.