Jeżeli ze siatki czworościanu usuniemy jedną ścianę, otrzymamy czworokąt o przekątnej
Pokaż, że pole powierzchni całkowitej czworościanu to:
Ppc = Pp + Pb
d – przekątna czworościanu
d = 2 · h
h – wysokość w trójkącie równobocznym, będącym ścianą czworościanu
Musisz wyznaczyć długość krawędzi czworościanu. Zauważ, że przekątna czworokąta ma długość równą podwojonej długości wysokości trójkąta będącego ścianą czworościanu.
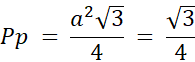
Zadanie 1.
98Zadanie 3.
99Zadanie 5.
99Zadanie 6.
100Zadanie 7.
100Zadanie 8.
100Zadanie 10.
101Zadanie 17.
103Zadanie 20.
104Ćwiczenie Sprawdź się! 2.
105Zadanie 1.
107Zadanie 2.
108Zadanie 3.
108Zadanie 8.
108Zadanie 9.
108Zadanie 12.
109Zadanie 14.
109Zadanie Sprawdź się! 1.
110Zadanie 2.
111Zadanie 3.
112Zadanie 10.
113Zadanie 14.
118Zadanie 16.
119Ćwiczenie 1.
120Ćwiczenie 2.
120