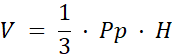
Przyjrzyj się rysunkowi i oblicz objętość przedstawionego na nim ostrosłupa.
Pp = a2 = 18
H2 + 32 = 62
H2 = 36 - 9
Oblicz wysokość ostrosłupa korzystając z twierdzenia Pitagorasa:
Przyprostokątne trójkąta to wysokość ostrosłupa i połowa przekątnej podstawy, natomiast przeciwprostokątna to krawędź boczna ostrosłupa.
Zadanie 1.
98Zadanie 3.
99Zadanie 5.
99Zadanie 6.
100Zadanie 7.
100Zadanie 8.
100Zadanie 10.
101Zadanie 17.
103Zadanie 20.
104Ćwiczenie Sprawdź się! 2.
105Zadanie 1.
107Zadanie 2.
108Zadanie 3.
108Zadanie 8.
108Zadanie 9.
108Zadanie 12.
109Zadanie 14.
109Zadanie Sprawdź się! 1.
110Zadanie 2.
111Zadanie 3.
112Zadanie 10.
113Zadanie 14.
118Zadanie 16.
119Ćwiczenie 1.
120Ćwiczenie 2.
120