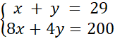
Oblicz, ile jest modeli sześcianów, a ile czworościanów, jeśli na stole leży łącznie 29 modeli i razem mają 200 wierzchołków.
x – ilość modeli sześcianów
y – ilość modeli czworościanów
8x – ilość wierzchołków sześcianów
4y – ilość wierzchołków czworościanów
232 – 8y + 4y = 200 / - 232
-4y = -32
y = 8
x = 29 – 8 = 21
Odp.: Na stole leży 21 sześcianów i 8 czworościanów.
Za x i y przyjmij odpowiednio ilość modeli sześcianów i czworościanów. Utwórz układ złożony z dwóch równań. Jedno równanie to suma wszystkich modeli, a drugie równanie to suma wszystkich wierzchołków.
Zadanie 1.
98Zadanie 3.
99Zadanie 5.
99Zadanie 6.
100Zadanie 7.
100Zadanie 8.
100Zadanie 10.
101Zadanie 17.
103Zadanie 20.
104Ćwiczenie Sprawdź się! 2.
105Zadanie 1.
107Zadanie 2.
108Zadanie 3.
108Zadanie 8.
108Zadanie 9.
108Zadanie 12.
109Zadanie 14.
109Zadanie Sprawdź się! 1.
110Zadanie 2.
111Zadanie 3.
112Zadanie 10.
113Zadanie 14.
118Zadanie 16.
119Ćwiczenie 1.
120Ćwiczenie 2.
120