Wskaż, jaka jest objętość ostrosłupa prawidłowego czworokątnego, którego bok podstawy ma 12 cm oraz wiedząc, że wysokość ściany bocznej jest od niej o 2 cm krótsza.
a = 12 cm
h – wysokość ściany bocznej
h = 10 cm
Pp = a2 = 122 = 144 cm2
H2 + 62 = 102
H2 = 100 – 36 = 64
H = 8 cm
Odp.: Objętość tego ostrosłupa wynosi 384 cm3.
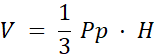
Objętość ostrosłupa obliczamy ze wzoru:
gdzie Pp to pole podstawy, a H to wysokość tego ostrosłupa.
Zadanie 1.
98Zadanie 3.
99Zadanie 5.
99Zadanie 6.
100Zadanie 7.
100Zadanie 8.
100Zadanie 10.
101Zadanie 17.
103Zadanie 20.
104Ćwiczenie Sprawdź się! 2.
105Zadanie 1.
107Zadanie 2.
108Zadanie 3.
108Zadanie 8.
108Zadanie 9.
108Zadanie 12.
109Zadanie 14.
109Zadanie Sprawdź się! 1.
110Zadanie 2.
111Zadanie 3.
112Zadanie 10.
113Zadanie 14.
118Zadanie 16.
119Ćwiczenie 1.
120Ćwiczenie 2.
120