Trapez równoramienny ABCD to podstawa ostrosłupa. AB i CD są do siebie równoległe. Wiemy także, że |AD| = |DC| = |CB| = 5 cm, a |AB| = 13 cm. Wysokość w tym ostrosłupie jest o 60% większa niż wysokość w podstawie. Podaj objętość tej bryły.
|AD| = |DC| = |CB| = 5 cm
|AB| = 13 cm
H – wysokość ostrosłupa
h – wysokość podstawy ostrosłupa
H = 160% · h
h2 + x2 = |AD|2
2x + |CD| = |AB|
2x + 5 = 13
2x = 8 / : 2
x = 4 cm
h2 + 42 = 52
h2 = 25 – 16 = 9
h = 3 cm
H = 160% · h
H = 1,6 · 3 = 4,8 cm
Odp.: Objętość tego ostrosłupa wynosi 43,2 cm3.
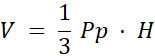
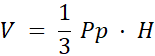
Objętość ostrosłupa obliczamy ze wzoru:
gdzie Pp to pole podstawy, a H to wysokość tego ostrosłupa.
Zadanie 1.
98Zadanie 3.
99Zadanie 5.
99Zadanie 6.
100Zadanie 7.
100Zadanie 8.
100Zadanie 10.
101Zadanie 17.
103Zadanie 20.
104Ćwiczenie Sprawdź się! 2.
105Zadanie 1.
107Zadanie 2.
108Zadanie 3.
108Zadanie 8.
108Zadanie 9.
108Zadanie 12.
109Zadanie 14.
109Zadanie Sprawdź się! 1.
110Zadanie 2.
111Zadanie 3.
112Zadanie 10.
113Zadanie 14.
118Zadanie 16.
119Ćwiczenie 1.
120Ćwiczenie 2.
120