Wskaż objętość i pole powierzchni całkowitej ostrosłupa prawidłowego czworokątnego, jeśli wiesz, że krawędź boczna ma 12 cm, a przekątna jego podstawy wynosi:
Rozwiązanie
Wyjaśnienie
Zapisz dane i skorzystaj z twierdzenia Pitagorasa:
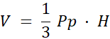
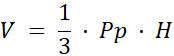
Pamiętaj, że objętość obliczysz ze wzoru:
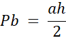
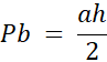
Pole całkowite to suma pól ścian bocznych oraz podstawy.