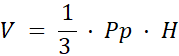
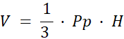
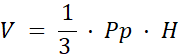
Udowodnij, że objętość ostrosłupa, którego siatka powstała z kwadratu o boku 4 cm jest równa:
a = 4 cm
H = 4 cm
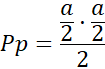
Zauważ, ze w podstawie ostrosłupa jest trójkąt prostokątny, którego przyprostokątne mają długość równą połowie długości boku kwadratu. Objętość ostrosłupa liczymy z wzoru:
Zadanie 1.
98Zadanie 3.
99Zadanie 5.
99Zadanie 6.
100Zadanie 7.
100Zadanie 8.
100Zadanie 10.
101Zadanie 17.
103Zadanie 20.
104Ćwiczenie Sprawdź się! 2.
105Zadanie 1.
107Zadanie 2.
108Zadanie 3.
108Zadanie 8.
108Zadanie 9.
108Zadanie 12.
109Zadanie 14.
109Zadanie Sprawdź się! 1.
110Zadanie 2.
111Zadanie 3.
112Zadanie 10.
113Zadanie 14.
118Zadanie 16.
119Ćwiczenie 1.
120Ćwiczenie 2.
120