Wiedząc, że bok sześcianu ma 2,2 cm, a bok w czworościanu foremnego ma 4 cm, oblicz, która bryła ma większe pole powierzchni.
Ppsz = 6 · a2 = 29,04 cm2
Ppsz > Ppcz
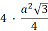
Oblicz pole powierzchni każdej z brył i porównaj. Pole sześcianu obliczysz ze wzoru: 6 · a2. Pole czworościanu foremnego otrzymasz ze wzoru:
Zadanie 1.
98Zadanie 3.
99Zadanie 5.
99Zadanie 6.
100Zadanie 7.
100Zadanie 8.
100Zadanie 10.
101Zadanie 17.
103Zadanie 20.
104Ćwiczenie Sprawdź się! 2.
105Zadanie 1.
107Zadanie 2.
108Zadanie 3.
108Zadanie 8.
108Zadanie 9.
108Zadanie 12.
109Zadanie 14.
109Zadanie Sprawdź się! 1.
110Zadanie 2.
111Zadanie 3.
112Zadanie 10.
113Zadanie 14.
118Zadanie 16.
119Ćwiczenie 1.
120Ćwiczenie 2.
120