Podaj pole powierzchni całkowitej graniastosłupa mając jego wymiary i wiedząc, że jest on trójkątny, a jego krawędź podstawy wynosi 20 cm i krawędź boczna:
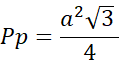
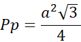
Pole powierzchni całkowitej graniastosłupa jest równe sumie pól podstaw i pola powierzchni bocznej. Pole podstawy (trójkąta) obliczysz ze wzoru:
Zadanie 1.
98Zadanie 3.
99Zadanie 5.
99Zadanie 6.
100Zadanie 7.
100Zadanie 8.
100Zadanie 10.
101Zadanie 17.
103Zadanie 20.
104Ćwiczenie Sprawdź się! 2.
105Zadanie 1.
107Zadanie 2.
108Zadanie 3.
108Zadanie 8.
108Zadanie 9.
108Zadanie 12.
109Zadanie 14.
109Zadanie Sprawdź się! 1.
110Zadanie 2.
111Zadanie 3.
112Zadanie 10.
113Zadanie 14.
118Zadanie 16.
119Ćwiczenie 1.
120Ćwiczenie 2.
120