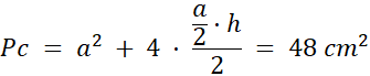
Pc = 48 cm2
a – długość krawędzi podstawy
h – wysokość ściany bocznej
a = h
Pp = a2
a2 + 2 · a2 = 48 cm2
3a2 = 48 / : 3
a2 = 16
a = 4 cm = h
H2 + 22 = 42
H2 = 16 – 4 = 12
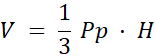
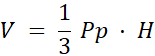
Objętość ostrosłupa obliczamy ze wzoru:
gdzie Pp to pole podstawy, a H to wysokość tego ostrosłupa.
Skorzystaj również z twierdzenia Pitagorasa: