Oblicz wysokość ostrosłupa, mając następujące dane:
V = 84 cm3,
podstawa to równoległobok o krawędziach 8 cm i 12 cm,
w podstawie jest kąt 30°.
V = 84 cm3
Pp = a · b · sinα
Pp = 8 · 12 · 0,5 = 48 cm2
84 =
16 · H = 84 / : 16
H = 5,25 cm
Odp.: Wysokość tego ostrosłupa ma długość 5,25 cm.
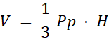
Objętość ostrosłupa obliczamy ze wzoru:
gdzie Pp to pole podstawy, a H to wysokość tego ostrosłupa.
Zadanie 1.
98Zadanie 3.
99Zadanie 5.
99Zadanie 6.
100Zadanie 7.
100Zadanie 8.
100Zadanie 10.
101Zadanie 17.
103Zadanie 20.
104Ćwiczenie Sprawdź się! 2.
105Zadanie 1.
107Zadanie 2.
108Zadanie 3.
108Zadanie 8.
108Zadanie 9.
108Zadanie 12.
109Zadanie 14.
109Zadanie Sprawdź się! 1.
110Zadanie 2.
111Zadanie 3.
112Zadanie 10.
113Zadanie 14.
118Zadanie 16.
119Ćwiczenie 1.
120Ćwiczenie 2.
120