Podaj jakie jest pole powierzchni całkowitej graniastosłupa prawidłowego trójkątnego, jeśli krawędź boczna wynosi 20 cm, a wysokość podstawy stanowi 90% wysokości całego graniastosłupa.
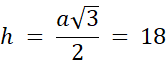
H = 20 cm
h = 90%H = 0,9 · 20 = 18 cm
Pole powierzchni całkowitej graniastosłupa prawidłowego trójkątnego obliczysz, tworząc sumę pól podstaw oraz trzech ścian bocznych.
Zadanie 1.
98Zadanie 3.
99Zadanie 5.
99Zadanie 6.
100Zadanie 7.
100Zadanie 8.
100Zadanie 10.
101Zadanie 17.
103Zadanie 20.
104Ćwiczenie Sprawdź się! 2.
105Zadanie 1.
107Zadanie 2.
108Zadanie 3.
108Zadanie 8.
108Zadanie 9.
108Zadanie 12.
109Zadanie 14.
109Zadanie Sprawdź się! 1.
110Zadanie 2.
111Zadanie 3.
112Zadanie 10.
113Zadanie 14.
118Zadanie 16.
119Ćwiczenie 1.
120Ćwiczenie 2.
120