Zadanie

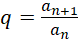
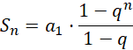
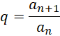
W tym zadaniu musisz zsumować jedenaście pierwszych wyrazów ciągu geometrycznego 13, –13, 13, …

Rozwiązanie

Wyjaśnienie

Zadania z tego działu
Ciągi
41
Przykłady ciągów
41

Zadanie 1.

41

Zadanie 2.

41

Zadanie 3.

42

Zadanie 4.

42

Zadanie 5.

42

Zadanie 6.

42

Zadanie 7.

42

Zadanie 8.

42

Zadanie 9.

43

Zadanie 10.

43

Zadanie 11.

43

Zadanie 12.

43

Zadanie 13.

43

Zadanie 14.

43

Zadanie 15.

44

Zadanie 16.

44

Zadanie 17.

44

Zadanie 18.

44

Zadanie 19.

44

Zadanie 20.

44

Zadanie 21.

44

Zadanie 22.

45

Zadanie 24.

45

Zadanie 25.

45

Zadanie 26.

45

Zadanie 27.

45

Zadanie 28.

45

Zadanie 29.

45

Zadanie 30.

46

Zadanie 31.

46

Zadanie 32.

46

Zadanie 34.

46

Zadanie 36.

46

Zadanie 37.

46

Zadanie 38.

46

Zadanie 39.

47

Zadanie 40.

47

Zadanie 42.

47
Ciąg arytmetyczny
47

Zadanie 43.

47

Zadanie 44.

48

Zadanie 46.

48

Zadanie 47.

48

Zadanie 48.

48

Zadanie 49.

48

Zadanie 50.

48

Zadanie 51.

49

Zadanie 52.

49

Zadanie 53.

49

Zadanie 54.

49

Zadanie 55.

49

Zadanie 57.

49

Zadanie 58.

49

Zadanie 60.

50

Zadanie 61.

50

Zadanie 62.

50

Zadanie 63.

50

Zadanie 64.

50

Zadanie 69.

50

Zadanie 70.

50

Zadanie 71.

50

Zadanie 79.

52

Zadanie 80.

52

Zadanie 81.

52

Zadanie 83.

52

Zadanie 86.

52

Zadanie 87.

53
Suma wyrazów ciągu arytmetycznego
53

Zadanie 89.

53

Zadanie 90.

53

Zadanie 91.

53

Zadanie 92.

53

Zadanie 93.

54

Zadanie 94.

54

Zadanie 95.

54

Zadanie 96.

54

Zadanie 97.

54

Zadanie 98.

54

Zadanie 99.

54

Zadanie 100.

54

Zadanie 102.

55

Zadanie 103.

55

Zadanie 104.

55

Zadanie 105.

55

Zadanie 107.

55

Zadanie 108.

56

Zadanie 109.

56

Zadanie 110.

56

Zadanie 113.

56

Zadanie 115.

56

Zadanie 116.

57

Zadanie 117.

57

Zadanie 118.

57

Zadanie 119.

57

Zadanie 120.

57

Zadanie 121.

57
Ciąg geometryczny
58

Zadanie 127.

58

Zadanie 130.

58

Zadanie 131.

58

Zadanie 132.

59

Zadanie 133.

59

Zadanie 134.

59

Zadanie 135.

59

Zadanie 137.

59

Zadanie 138.

59

Zadanie 139.

59

Zadanie 140.

60

Zadanie 141.

60

Zadanie 142.

60

Zadanie 143.

60

Zadanie 145.

60

Zadanie 147.

60

Zadanie 148.

61

Zadanie 149.

61

Zadanie 150.

61

Zadanie 151.

61

Zadanie 152.

61

Zadanie 153

61

Zadanie 157.

62

Zadanie 161.

62

Zadanie 162.

62

Zadanie 166.

62

Zadanie 168.

63

Zadanie 171.

63

Zadanie 173.

63

Zadanie 174.

63

Zadanie 176.

64

Zadanie 177.

64

Zadanie 179.

64
Obliczanie granic
73

Zadanie 233.

73

Zadanie 234.

73

Zadanie 235.

73

Zadanie 236.

73

Zadanie 237.

73

Zadanie 238.

73

Zadanie 239.

74

Zadanie 240.

74

Zadanie 241.

74

Zadanie 242.

74

Zadanie 243.

74

Zadanie 244.

75

Zadanie 245.

75

Zadanie 246.

75

Zadanie 247.

75

Zadanie 248.

75

Zadanie 249.

75

Zadanie 250.

76

Zadanie 251.

76

Zadanie 252.

76

Zadanie 253.

76

Zadanie 254.

76

Zadanie 255.

76

Zadanie 256.

77

Zadanie 257.

77

Zadanie 258.

77

Zadanie 259.

77

Zadanie 260.

77

Zadanie 261.

77

Zadanie 262.

78

Zadanie 263.

78
Szereg geometryczny
78

Zadanie 266.

78

Zadanie 267.

79

Zadanie 268.

79

Zadanie 269.

79

Zadanie 271.

79

Zadanie 272.

79

Zadanie 273.

80

Zadanie 274.

80

Zadanie 275.

80

Zadanie 276.

80

Zadanie 277.

80

Zadanie 278.

80

Zadanie 279.

80

Zadanie 282.

81

Zadanie 283.

81

Zadanie 284.

81

Zadanie 285.

81

Zadanie 286.

81

Zadanie 287.

82

Zadanie 288.

82