Podaj rozwiązanie równania, którego lewa strona to suma szeregu geometrycznego:
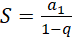
Wzór na sumę wyrazów nieskończonego ciągu geometrycznego (inaczej szeregu geometrycznego) ma postać:
Gdzie a1 – pierwszy wyraz tego ciągu,
q – iloraz tego ciągu (spełnia warunek:
Zadanie 1.
41Zadanie 2.
41Zadanie 3.
42Zadanie 4.
42Zadanie 5.
42Zadanie 6.
42Zadanie 7.
42Zadanie 8.
42Zadanie 9.
43Zadanie 10.
43Zadanie 11.
43Zadanie 12.
43Zadanie 13.
43Zadanie 14.
43Zadanie 15.
44Zadanie 16.
44Zadanie 17.
44Zadanie 18.
44Zadanie 19.
44Zadanie 20.
44Zadanie 21.
44Zadanie 22.
45Zadanie 24.
45Zadanie 25.
45Zadanie 26.
45Zadanie 27.
45Zadanie 28.
45Zadanie 29.
45Zadanie 30.
46Zadanie 31.
46Zadanie 32.
46Zadanie 34.
46Zadanie 36.
46Zadanie 37.
46Zadanie 38.
46Zadanie 39.
47Zadanie 40.
47Zadanie 42.
47Zadanie 43.
47Zadanie 44.
48Zadanie 46.
48Zadanie 47.
48Zadanie 48.
48Zadanie 49.
48Zadanie 50.
48Zadanie 51.
49Zadanie 52.
49Zadanie 53.
49Zadanie 54.
49Zadanie 55.
49Zadanie 57.
49Zadanie 58.
49Zadanie 60.
50Zadanie 61.
50Zadanie 62.
50Zadanie 63.
50Zadanie 64.
50Zadanie 69.
50Zadanie 70.
50Zadanie 71.
50Zadanie 79.
52Zadanie 80.
52Zadanie 81.
52Zadanie 83.
52Zadanie 86.
52Zadanie 87.
53Zadanie 89.
53Zadanie 90.
53Zadanie 91.
53Zadanie 92.
53Zadanie 93.
54Zadanie 94.
54Zadanie 95.
54Zadanie 96.
54Zadanie 97.
54Zadanie 98.
54Zadanie 99.
54Zadanie 100.
54Zadanie 102.
55Zadanie 103.
55Zadanie 104.
55Zadanie 105.
55Zadanie 107.
55Zadanie 108.
56Zadanie 109.
56Zadanie 110.
56Zadanie 113.
56Zadanie 115.
56Zadanie 116.
57Zadanie 117.
57Zadanie 118.
57Zadanie 119.
57Zadanie 120.
57Zadanie 121.
57Zadanie 127.
58Zadanie 130.
58Zadanie 131.
58Zadanie 132.
59Zadanie 133.
59Zadanie 134.
59Zadanie 135.
59Zadanie 137.
59Zadanie 138.
59Zadanie 139.
59Zadanie 140.
60Zadanie 141.
60Zadanie 142.
60Zadanie 143.
60Zadanie 145.
60Zadanie 147.
60Zadanie 148.
61Zadanie 149.
61Zadanie 150.
61Zadanie 151.
61Zadanie 152.
61Zadanie 153
61Zadanie 157.
62Zadanie 161.
62Zadanie 162.
62Zadanie 166.
62Zadanie 168.
63Zadanie 171.
63Zadanie 173.
63Zadanie 174.
63Zadanie 176.
64Zadanie 177.
64Zadanie 179.
64Zadanie 180.
64Zadanie 181.
65Zadanie 182.
65Zadanie 184.
65Zadanie 185.
65Zadanie 186.
65Zadanie 187.
65Zadanie 189.
66Zadanie 190.
66Zadanie 191.
66Zadanie 192.
66Zadanie 193.
66Zadanie 197
67Zadanie 198
67Zadanie 204.
68Zadanie 205.
68Zadanie 206.
68Zadanie 207.
68Zadanie 209.
69Zadanie 211.
69Zadanie 212.
69Zadanie 214.
69Zadanie 215.
69Zadanie 216.
70Zadanie 217.
70Zadanie 219.
70Zadanie 220.
70Zadanie 222.
71Zadanie 223.
71Zadanie 224.
71Zadanie 225.
71Zadanie 226.
71Zadanie 227.
72Zadanie 228.
72Zadanie 229.
72Zadanie 230.
72Zadanie 231.
72Zadanie 233.
73Zadanie 234.
73Zadanie 235.
73Zadanie 236.
73Zadanie 237.
73Zadanie 238.
73Zadanie 239.
74Zadanie 240.
74Zadanie 241.
74Zadanie 242.
74Zadanie 243.
74Zadanie 244.
75Zadanie 245.
75Zadanie 246.
75Zadanie 247.
75Zadanie 248.
75Zadanie 249.
75Zadanie 250.
76Zadanie 251.
76Zadanie 252.
76Zadanie 253.
76Zadanie 254.
76Zadanie 255.
76Zadanie 256.
77Zadanie 257.
77Zadanie 258.
77Zadanie 259.
77Zadanie 260.
77Zadanie 261.
77Zadanie 262.
78Zadanie 263.
78Zadanie 266.
78Zadanie 267.
79Zadanie 268.
79Zadanie 269.
79Zadanie 271.
79Zadanie 272.
79Zadanie 273.
80Zadanie 274.
80Zadanie 275.
80Zadanie 276.
80Zadanie 277.
80Zadanie 278.
80Zadanie 279.
80Zadanie 282.
81Zadanie 283.
81Zadanie 284.
81Zadanie 285.
81Zadanie 286.
81Zadanie 287.
82Zadanie 288.
82Zadanie 20.
85