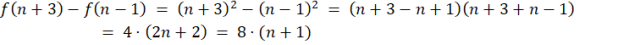
Zadanie

Udowodnij, że dla każdej liczby całkowitej różnica: jest liczbą całkowitą podzielną przez 8 dla funkcji gdzie .

Rozwiązanie

Wyjaśnienie

Zadania z tego działu
7. Funkcja kwadratowa
312
7.1. Wykres funkcji f(x) = ax2
313

Zadanie 2.

313

Zadanie 3.

313

Zadanie 4.

313

Zadanie 5.

313

Zadanie 7.

314

Zadanie 8.

314

Zadanie 9.

314

Zadanie 10.

314

Zadanie 11.

314

Zadanie 13.

314

Zadanie 15.

315

Zadanie 16.

315

Zadanie 17.

315

Zadanie 18.

315

Zadanie 19.

315

Zadanie 20.

315

Zadanie 23.

316

Zadanie 24.

316

Zadanie 26.

316
7.2. Przesunięcie wykresu funkcji f(x) = ax2 o wektor
317

Zadanie 1.

317

Zadanie 2.

317

Zadanie 3.

317

Zadanie 4.

317

Zadanie 5.

317

Zadanie 6.

317

Zadanie 7.

317

Zadanie 8.

318

Zadanie 9.

318

Zadanie 10.

318

Zadanie 11.

318

Zadanie 12.

318

Zadanie 13.

318

Zadanie 15.

318

Zadanie 19.

319

Zadanie 20.

319

Zadanie 21.

319

Zadanie 22.

319

Zadanie 23.

319

Zadanie 25.

320

Zadanie 26.

320

Zadanie 27.

320

Zadanie 29.

320

Zadanie 30.

320

Zadanie 31.

320
7.3. Postać kanoniczna i postać ogólna funkcji kwadratowej
321

Zadanie 1.

321

Zadanie 2.

321

Zadanie 3.

321

Zadanie 4.

321

Zadanie 5.

321

Zadanie 6.

322

Zadanie 7.

322

Zadanie 8.

322

Zadanie 9.

322

Zadanie 10.

322

Zadanie 11.

322

Zadanie 12.

322

Zadanie 13.

322

Zadanie 14.

323

Zadanie 15.

323

Zadanie 16.

323

Zadanie 19.

323

Zadanie 20.

323

Zadanie 21.

323

Zadanie 22.

323

Zadanie 23.

323

Zadanie 25.

324

Zadanie 27.

324

Zadanie 28.

324

Zadanie 29.

324

Zadanie 31.

324

Zadanie 32.

324
7.4. Równania kwadratowe (1)
325

Zadanie 1.

325

Zadanie 2.

325

Zadanie 3.

325

Zadanie 4.

325

Zadanie 5.

325

Zadanie 6.

325

Zadanie 7.

325

Zadanie 8.

326

Zadanie 9.

326

Zadanie 10.

326

Zadanie 11.

326

Zadanie 12.

326

Zadanie 13.

326

Zadanie 14.

327

Zadanie 15.

327

Zadanie 16.

327

Zadanie 17.

327

Zadanie 18.

327

Zadanie 19.

328

Zadanie 20.

328

Zadanie 21.

328

Zadanie 22.

328

Zadanie 23.

328

Zadanie 24.

328

Zadanie 25.

328
7.5. Równania kwadratowe (2)
329

Zadanie 1.

329

Zadanie 2.

329

Zadanie 3.

329

Zadanie 4.

329

Zadanie 6.

329

Zadanie 7.

329

Zadanie 8.

330

Zadanie 9.

330

Zadanie 10.

330

Zadanie 11.

330

Zadanie 12.

330

Zadanie 13.

330

Zadanie 14.

330

Zadanie 15.

330

Zadanie 17.

331

Zadanie 18.

331

Zadanie 19.

331

Zadanie 20.

331

Zadanie 21.

331

Zadanie 23.

332

Zadanie 24.

332

Zadanie 27.

332

Zadanie 29.

332

Zadanie 30.

332
7.6. Postać iloczynowa funkcji kwadratowej
333

Zadanie 1.

333

Zadanie 2.

333

Zadanie 3.

333

Zadanie 4.

333

Zadanie 5.

333

Zadanie 6.

333

Zadanie 7.

333

Zadanie 8.

334

Zadanie 9.

334

Zadanie 10.

334

Zadanie 11.

334

Zadanie 12.

334

Zadanie 13.

334

Zadanie 14.

334

Zadanie 15.

335

Zadanie 16.

335

Zadanie 17.

335

Zadanie 18.

335

Zadanie 19.

335

Zadanie 20.

335

Zadanie 21.

335

Zadanie 22.

336

Zadanie 23.

336

Zadanie 27.

336
7.7. Nierówności kwadratowe
337

Zadanie 1.

337

Zadanie 2.

337

Zadanie 3.

337

Zadanie 4.

337

Zadanie 5.

337

Zadanie 6.

337

Zadanie 7.

337

Zadanie 8.

338

Zadanie 9.

338

Zadanie 10.

338

Zadanie 11.

338

Zadanie 12.

338

Zadanie 14.

338

Zadanie 16.

339

Zadanie 17.

339

Zadanie 18.

339

Zadanie 20.

339

Zadanie 21.

339

Zadanie 24.

339

Zadanie 25.

339

Zadanie 26.

339
7.8. Powtórzenie
340

Zadanie 1.

340

Zadanie 2.

340

Zadanie 3.

340

Zadanie 4.

340

Zadanie 5.

341

Zadanie 6.

341

Zadanie 7.

341

Zadanie 8.

341

Zadanie 9.

341

Zadanie 10.

341

Zadanie 11.

341

Zadanie 12.

341

Zadanie 13.

342

Zadanie 14.

342

Zadanie 15.

342

Zadanie 16.

342

Zadanie 17.

342

Zadanie 18.

342

Zadanie 19.

342

Zadanie 20.

342

Zadanie 21.

343

Zadanie 24.

343

Zadanie 25.

343

Zadanie 27.

343

Zadanie 28.

343

Zadanie 29.

344

Zadanie 30.

344

Zadanie 34.

344

Zadanie 35.

344

Zadanie 38.

344

Zadanie 39.

344

Zadanie 40.

344

Zadanie 48.

345