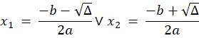
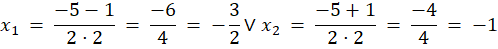
Wykorzystując własność wartości bezwzględnej podaną w ramce znajdź pierwiastki równania
Równanie
Rozwiązania równania
Wykorzystaj własność wartości bezwzględnej podaną w ramce. Rozwiąż powstałe w ten sposób dwa równania. Zbiór rozwiązań obu równań to pierwiastki pierwotnego równania.
Zadanie 2.
313Zadanie 3.
313Zadanie 4.
313Zadanie 5.
313Zadanie 7.
314Zadanie 8.
314Zadanie 9.
314Zadanie 10.
314Zadanie 11.
314Zadanie 13.
314Zadanie 15.
315Zadanie 16.
315Zadanie 17.
315Zadanie 18.
315Zadanie 19.
315Zadanie 20.
315Zadanie 23.
316Zadanie 24.
316Zadanie 26.
316Zadanie 1.
317Zadanie 2.
317Zadanie 3.
317Zadanie 4.
317Zadanie 5.
317Zadanie 6.
317Zadanie 7.
317Zadanie 8.
318Zadanie 9.
318Zadanie 10.
318Zadanie 11.
318Zadanie 12.
318Zadanie 13.
318Zadanie 15.
318Zadanie 19.
319Zadanie 20.
319Zadanie 21.
319Zadanie 22.
319Zadanie 23.
319Zadanie 25.
320Zadanie 26.
320Zadanie 27.
320Zadanie 29.
320Zadanie 30.
320Zadanie 31.
320Zadanie 1.
321Zadanie 2.
321Zadanie 3.
321Zadanie 4.
321Zadanie 5.
321Zadanie 6.
322Zadanie 7.
322Zadanie 8.
322Zadanie 9.
322Zadanie 10.
322Zadanie 11.
322Zadanie 12.
322Zadanie 13.
322Zadanie 14.
323Zadanie 15.
323Zadanie 16.
323Zadanie 19.
323Zadanie 20.
323Zadanie 21.
323Zadanie 22.
323Zadanie 23.
323Zadanie 25.
324Zadanie 27.
324Zadanie 28.
324Zadanie 29.
324Zadanie 31.
324Zadanie 32.
324Zadanie 1.
325Zadanie 2.
325Zadanie 3.
325Zadanie 4.
325Zadanie 5.
325Zadanie 6.
325Zadanie 7.
325Zadanie 8.
326Zadanie 9.
326Zadanie 10.
326Zadanie 11.
326Zadanie 12.
326Zadanie 13.
326Zadanie 14.
327Zadanie 15.
327Zadanie 16.
327Zadanie 17.
327Zadanie 18.
327Zadanie 19.
328Zadanie 20.
328Zadanie 21.
328Zadanie 22.
328Zadanie 23.
328Zadanie 24.
328Zadanie 25.
328Zadanie 1.
329Zadanie 2.
329Zadanie 3.
329Zadanie 4.
329Zadanie 6.
329Zadanie 7.
329Zadanie 8.
330Zadanie 9.
330Zadanie 10.
330Zadanie 11.
330Zadanie 12.
330Zadanie 13.
330Zadanie 14.
330Zadanie 15.
330Zadanie 17.
331Zadanie 18.
331Zadanie 19.
331Zadanie 20.
331Zadanie 21.
331Zadanie 23.
332Zadanie 24.
332Zadanie 27.
332Zadanie 29.
332Zadanie 30.
332Zadanie 1.
333Zadanie 2.
333Zadanie 3.
333Zadanie 4.
333Zadanie 5.
333Zadanie 6.
333Zadanie 7.
333Zadanie 8.
334Zadanie 9.
334Zadanie 10.
334Zadanie 11.
334Zadanie 12.
334Zadanie 13.
334Zadanie 14.
334Zadanie 15.
335Zadanie 16.
335Zadanie 17.
335Zadanie 18.
335Zadanie 19.
335Zadanie 20.
335Zadanie 21.
335Zadanie 22.
336Zadanie 23.
336Zadanie 27.
336Zadanie 1.
337Zadanie 2.
337Zadanie 3.
337Zadanie 4.
337Zadanie 5.
337Zadanie 6.
337Zadanie 7.
337Zadanie 8.
338Zadanie 9.
338Zadanie 10.
338Zadanie 11.
338Zadanie 12.
338Zadanie 14.
338Zadanie 16.
339Zadanie 17.
339Zadanie 18.
339Zadanie 20.
339Zadanie 21.
339Zadanie 24.
339Zadanie 25.
339Zadanie 26.
339Zadanie 1.
340Zadanie 2.
340Zadanie 3.
340Zadanie 4.
340Zadanie 5.
341Zadanie 6.
341Zadanie 7.
341Zadanie 8.
341Zadanie 9.
341Zadanie 10.
341Zadanie 11.
341Zadanie 12.
341Zadanie 13.
342Zadanie 14.
342Zadanie 15.
342Zadanie 16.
342Zadanie 17.
342Zadanie 18.
342Zadanie 19.
342Zadanie 20.
342Zadanie 21.
343Zadanie 24.
343Zadanie 25.
343Zadanie 27.
343Zadanie 28.
343Zadanie 29.
344Zadanie 30.
344Zadanie 34.
344Zadanie 35.
344Zadanie 38.
344Zadanie 39.
344Zadanie 40.
344Zadanie 48.
345