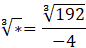
W tym zadaniu musisz obliczyć, jaką liczbą zastąpiono znakiem *.
W tym zadaniu musisz tak przekształcić równanie, aby dojść do postaci x =. Następnie wykonaj odpowiednie obliczenia. W tym przykładzie musisz równanie podnieść obustronnie do potęgi trzeciej.
Zadanie 1.
50Zadanie 2.
50Zadanie 3.
50Zadanie 4.
50Zadanie 6.
50Zadanie 11.
51Zadanie 12.
51Zadanie 13.
51Zadanie 14.
51Zadanie 17.
51Zadanie 21.
52Zadanie 27.
52Zadanie 28.
52Zadanie 29.
52Zadanie 1.
53Zadanie 2.
53Zadanie 8.
53Zadanie 9.
53Zadanie 11.
54Zadanie 14
54Zadanie 16
54Zadanie 17.
54Zadanie 20.
54Zadanie 26.
55Zadanie 27.
55Zadanie 30.
55Zadanie 1.
56Zadanie 2.
56Zadanie 3.
56Zadanie 4.
56Zadanie 6.
56Zadanie 10.
57Zadanie 11.
57Zadanie 12.
57Zadanie 13.
57Zadanie 14.
57Zadanie 18.
58Zadanie 19.
58Zadanie 20.
58Zadanie 23.
58Zadanie 25.
58Zadanie 1.
59Zadanie 6.
59Zadanie 7.
59Zadanie 8.
59Zadanie 9.
59Zadanie 11.
60Zadanie 14.
60Zadanie 15.
60Zadanie 16.
60Zadanie 20.
61Zadanie 22.
61Zadanie 23.
61Zadanie 24.
61Zadanie 25.
61Zadanie 26.
61Zadanie 27.
61Zadanie 1.
62Zadanie 2.
62Zadanie 3.
62Zadanie 4.
62Zadanie 6.
62Zadanie 8.
62Zadanie 9.
62Zadanie 10.
62Zadanie 12.
63Zadanie 14.
63Zadanie 15.
63Zadanie 16.
63Zadanie 17.
63Zadanie 18.
63Zadanie 19.
63Zadanie 20.
63Zadanie 21.
64Zadanie 24.
64Zadanie 25.
64Zadanie 26.
64Zadanie 27.
64Zadanie 29.
64Zadanie 30.
64Zadanie 1.
65Zadanie 3.
65Zadanie 4.
65Zadanie 5.
65Zadanie 6.
65Zadanie 8.
65Zadanie 9.
65Zadanie 11.
66Zadanie 12.
66Zadanie 13.
66Zadanie 14.
66Zadanie 15.
66Zadanie 16.
66Zadanie 17.
66Zadanie 18.
66Zadanie 19.
66Zadanie 20.
66Zadanie 21.
66Zadanie 23.
67Zadanie 24.
67Zadanie 25.
67Zadanie 28.
67Zadanie 29.
67Zadanie 31.
67Zadanie 32.
67Zadanie 33.
67Zadanie 34.
67Zadanie 35.
67Zadanie 11.
69Zadanie 12.
69Zadanie 14.
69Zadanie 15.
69Zadanie 18.
69