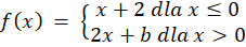
W tym zadaniu musisz znaleźć takie b, aby funkcja f była funkcją rosnącą, jeżeli
Narysuj wykres funkcji f dla
Zauważ, że aby funkcja f była funkcją rosnącą to wykres funkcji
Zadanie 1.
147Zadanie 2.
147Zadanie 3.
147Zadanie 4.
147Zadanie 6.
148Zadanie 8.
148Zadanie 9.
148Zadanie 11.
149Zadanie 12.
149Zadanie 19.
150Zadanie 24.
150Zadanie 25.
151Zadanie 30.
151Zadanie 31.
151Zadanie 34.
152Zadanie 36.
152Zadanie 37.
152Zadanie 2.
153Zadanie 3.
153Zadanie 8.
154Zadanie 9.
154Zadanie 11.
154Zadanie 12.
155Zadanie 13.
155Zadanie 16.
155Zadanie 17.
155Zadanie 18.
156Zadanie 19.
156Zadanie 21.
156Zadanie 22.
156Zadanie 23.
156Zadanie 24.
156Zadanie 27.
157Zadanie 28.
157Zadanie 29.
157Zadanie 30.
157Zadanie 33.
157Zadanie 1.
158Zadanie 2.
158Zadanie 3.
158Zadanie 4.
158Zadanie 6.
159Zadanie 7.
159Zadanie 10.
159Zadanie 11.
160Zadanie 12.
160Zadanie 14.
160Zadanie 15.
160Zadanie 19.
161Zadanie 20.
161Zadanie 21.
161Zadanie 22.
161Zadanie 24.
161Zadanie 26.
162Zadanie 27.
162Zadanie 28.
162Zadanie 29.
162Zadanie 30.
162Zadanie 32.
162Zadanie 34.
163Zadanie 35.
163Zadanie 36.
163Zadanie 2.
164Zadanie 3.
164Zadanie 5.
165Zadanie 7.
165Zadanie 8.
165Zadanie 9.
165Zadanie 11.
166Zadanie 12.
166Zadanie 13.
166Zadanie 14.
167Zadanie 15.
167Zadanie 16.
167Zadanie 17.
167Zadanie 18.
168Zadanie 19.
168Zadanie 20.
168Zadanie 21.
168Zadanie 22.
168Zadanie 23.
168Zadanie 24.
168Zadanie 26.
169Zadanie 27.
169Zadanie 28.
169Zadanie 30.
169Zadanie 31.
170Zadanie 32.
170Zadanie 33.
170Zadanie 34.
170Zadanie 36.
170Zadanie 37.
170Zadanie 38.
170Zadanie 39.
170Zadanie 1.
171Zadanie 2.
171Zadanie 3.
171Zadanie 4.
171Zadanie 5.
172Zadanie 6.
172Zadanie 7.
172Zadanie 8.
173Zadanie 9.
173Zadanie 10.
173Zadanie 11.
174Zadanie 13.
174Zadanie 14.
174Zadanie 15.
175Zadanie 16.
175Zadanie 17.
176Zadanie 18.
176Zadanie 19.
176Zadanie 20.
177Zadanie 21.
177Zadanie 22.
177Zadanie 23.
177Zadanie 24.
177Zadanie 26.
177Zadanie 1.
178Zadanie 2.
178Zadanie 3.
178Zadanie 4.
178Zadanie 5.
179Zadanie 6.
179Zadanie 9.
180Zadanie 10.
180Zadanie 11.
180Zadanie 12.
181Zadanie 13.
181Zadanie 15.
181Zadanie 16.
182Zadanie 17.
182Zadanie 18.
182Zadanie 19.
182Zadanie 20.
182Zadanie 21.
183Zadanie 22.
183Zadanie 23.
183Zadanie 24.
183Zadanie 26.
184Zadanie 27.
184Zadanie 28.
184Zadanie 29.
184Zadanie 30.
185Zadanie 31.
185Zadanie 33.
185Zadanie 34.
185Zadanie 36.
185Zadanie 1.
186Zadanie 4.
186Zadanie 5.
186Zadanie 6.
187Zadanie 7.
187Zadanie 8.
187Zadanie 9.
187Zadanie 10.
187Zadanie 12.
188Zadanie 15.
188Zadanie 17.
188Zadanie 18.
189Zadanie 20.
189Zadanie 24.
189Zadanie 25.
190Zadanie 30.
190Zadanie 32.
191Zadanie 33.
191Zadanie 34.
191Zadanie 35.
191Zadanie 40.
192Zadanie 1.
193Zadanie 3.
193Zadanie 4.
193Zadanie 5.
193Zadanie 7.
194Zadanie 8.
194Zadanie 9.
194Zadanie 11.
194Zadanie 13.
195Zadanie 16.
195Zadanie 17.
195Zadanie 20.
196Zadanie 21.
196Zadanie 22.
196Zadanie 23.
197Zadanie 25.
197Zadanie 26.
197Zadanie 32.
198Zadanie 34.
198Zadanie 37.
199Zadanie 38.
199Zadanie 39.
199Zadanie 40.
199Zadanie 41.
199Zadanie 42.
199Zadanie 43.
199Zadanie 44.
199Zadanie 1.
200Zadanie 2.
200Zadanie 4.
200Zadanie 6.
200Zadanie 7.
200Zadanie 8.
200Zadanie 9.
201Zadanie 10.
201Zadanie 11.
201Zadanie 1.
202Zadanie 2.
202Zadanie 3.
202Zadanie 4.
202Zadanie 5.
203Zadanie 6.
203Zadanie 7.
203Zadanie 9.
203Zadanie 10.
203Zadanie 11.
204Zadanie 12.
204Zadanie 13.
204Zadanie 16.
204Zadanie 17.
204Zadanie 18.
205Zadanie 19.
205Zadanie 20.
205Zadanie 21.
205Zadanie 22.
205Zadanie 23.
206Zadanie 24.
206Zadanie 25.
206Zadanie 26.
206Zadanie 27.
206Zadanie 28.
206Zadanie 29.
206Zadanie 2.
207Zadanie 3.
207Zadanie 6.
208Zadanie 8.
208Zadanie 9.
208Zadanie 13.
209Zadanie 17.
210Zadanie 18.
210Zadanie 19.
210Zadanie 20.
210Zadanie 21.
210Zadanie 22.
211Zadanie 26.
211Zadanie 29.
212Zadanie 32.
213Zadanie 33.
213Zadanie 34.
213Zadanie 35.
213Zadanie 37.
213Zadanie 1.
214Zadanie 2.
214Zadanie 3.
214Zadanie 4.
214Zadanie 5.
214Zadanie 6.
214Zadanie 7.
214Zadanie 8.
215Zadanie 9.
215Zadanie 10.
215Zadanie 12.
215Zadanie 17.
216Zadanie 18.
216Zadanie 20.
216Zadanie 2.
217Zadanie 3.
217Zadanie 5.
217Zadanie 6.
217Zadanie 9.
218Zadanie 14.
218Zadanie 15.
218Zadanie 16.
219Zadanie 17.
219Zadanie 18.
219Zadanie 19.
219Zadanie 22.
219Zadanie 23.
219Zadanie 24.
220Zadanie 25.
220Zadanie 26.
220Zadanie 27.
220Zadanie 28.
220Zadanie 29.
220Zadanie 31.
220Zadanie 1.
221Zadanie 3.
221Zadanie 4.
221Zadanie 5.
221Zadanie 6.
221Zadanie 8.
222Zadanie 9.
222Zadanie 10.
222Zadanie 11.
222Zadanie 12.
223Zadanie 13.
223Zadanie 14.
223Zadanie 15.
223Zadanie 16.
223Zadanie 17.
223Zadanie 18.
223Zadanie 19.
223Zadanie 20.
224Zadanie 22.
224Zadanie 24.
224Zadanie 25.
225Zadanie 26.
225Zadanie 28.
225Zadanie 29.
225Zadanie 30.
225Zadanie 31.
225Zadanie 32.
225Zadanie 33.
226Zadanie 36.
226Zadanie 37.
226Zadanie 38.
227Zadanie 40.
227Zadanie 41.
227Zadanie 42.
227Zadanie 43.
227Zadanie 44.
227Zadanie 46
227