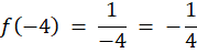
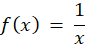
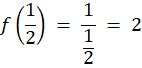
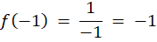
Zadanie

W tym zadaniu musisz narysować wykres funkcji f, jeżeli oraz

Rozwiązanie

Wyjaśnienie

Zadania z tego działu
4. Funkcje
145
4.2. Szkicowanie wykresu funkcji (1)
153

Zadanie 2.

153

Zadanie 3.

153

Zadanie 8.

154

Zadanie 9.

154

Zadanie 11.

154

Zadanie 12.

155

Zadanie 13.

155

Zadanie 16.

155

Zadanie 17.

155

Zadanie 18.

156

Zadanie 19.

156

Zadanie 21.

156

Zadanie 22.

156

Zadanie 23.

156

Zadanie 24.

156

Zadanie 27.

157

Zadanie 28.

157

Zadanie 29.

157

Zadanie 30.

157

Zadanie 33.

157
4.3. Szkicowanie wykresu funkcji (2)
158

Zadanie 1.

158

Zadanie 2.

158

Zadanie 3.

158

Zadanie 4.

158

Zadanie 6.

159

Zadanie 7.

159

Zadanie 10.

159

Zadanie 11.

160

Zadanie 12.

160

Zadanie 14.

160

Zadanie 15.

160

Zadanie 19.

161

Zadanie 20.

161

Zadanie 21.

161

Zadanie 22.

161

Zadanie 24.

161

Zadanie 26.

162

Zadanie 27.

162

Zadanie 28.

162

Zadanie 29.

162

Zadanie 30.

162

Zadanie 32.

162

Zadanie 34.

163

Zadanie 35.

163

Zadanie 36.

163
4.4. Monotoniczność funkcji
164

Zadanie 2.

164

Zadanie 3.

164

Zadanie 5.

165

Zadanie 7.

165

Zadanie 8.

165

Zadanie 9.

165

Zadanie 11.

166

Zadanie 12.

166

Zadanie 13.

166

Zadanie 14.

167

Zadanie 15.

167

Zadanie 16.

167

Zadanie 17.

167

Zadanie 18.

168

Zadanie 19.

168

Zadanie 20.

168

Zadanie 21.

168

Zadanie 22.

168

Zadanie 23.

168

Zadanie 24.

168

Zadanie 26.

169

Zadanie 27.

169

Zadanie 28.

169

Zadanie 30.

169

Zadanie 31.

170

Zadanie 32.

170

Zadanie 33.

170

Zadanie 34.

170

Zadanie 36.

170

Zadanie 37.

170

Zadanie 38.

170

Zadanie 39.

170
4.5. Odczytywanie własności funkcji z wykresu (1)
171

Zadanie 1.

171

Zadanie 2.

171

Zadanie 3.

171

Zadanie 4.

171

Zadanie 5.

172

Zadanie 6.

172

Zadanie 7.

172

Zadanie 8.

173

Zadanie 9.

173

Zadanie 10.

173

Zadanie 11.

174

Zadanie 13.

174

Zadanie 14.

174

Zadanie 15.

175

Zadanie 16.

175

Zadanie 17.

176

Zadanie 18.

176

Zadanie 19.

176

Zadanie 20.

177

Zadanie 21.

177

Zadanie 22.

177

Zadanie 23.

177

Zadanie 24.

177

Zadanie 26.

177
4.6. Odczytywanie własności funkcji z wykresu (2)
178

Zadanie 1.

178

Zadanie 2.

178

Zadanie 3.

178

Zadanie 4.

178

Zadanie 5.

179

Zadanie 6.

179

Zadanie 9.

180

Zadanie 10.

180

Zadanie 11.

180

Zadanie 12.

181

Zadanie 13.

181

Zadanie 15.

181

Zadanie 16.

182

Zadanie 17.

182

Zadanie 18.

182

Zadanie 19.

182

Zadanie 20.

182

Zadanie 21.

183

Zadanie 22.

183

Zadanie 23.

183

Zadanie 24.

183

Zadanie 26.

184

Zadanie 27.

184

Zadanie 28.

184

Zadanie 29.

184

Zadanie 30.

185

Zadanie 31.

185

Zadanie 33.

185

Zadanie 34.

185

Zadanie 36.

185
4.7 Przesuwanie wykresu wzdłuż osi OY
186

Zadanie 1.

186

Zadanie 4.

186

Zadanie 5.

186

Zadanie 6.

187

Zadanie 7.

187

Zadanie 8.

187

Zadanie 9.

187

Zadanie 10.

187

Zadanie 12.

188

Zadanie 15.

188

Zadanie 17.

188

Zadanie 18.

189

Zadanie 20.

189

Zadanie 24.

189

Zadanie 25.

190

Zadanie 30.

190

Zadanie 32.

191

Zadanie 33.

191

Zadanie 34.

191

Zadanie 35.

191

Zadanie 40.

192
4.8 Przesuwanie wykresu wzdłuż osi OX
193

Zadanie 1.

193

Zadanie 3.

193

Zadanie 4.

193

Zadanie 5.

193

Zadanie 7.

194

Zadanie 8.

194

Zadanie 9.

194

Zadanie 11.

194

Zadanie 13.

195

Zadanie 16.

195

Zadanie 17.

195

Zadanie 20.

196

Zadanie 21.

196

Zadanie 22.

196

Zadanie 23.

197

Zadanie 25.

197

Zadanie 26.

197

Zadanie 32.

198

Zadanie 34.

198

Zadanie 37.

199

Zadanie 38.

199

Zadanie 39.

199

Zadanie 40.

199

Zadanie 41.

199

Zadanie 42.

199

Zadanie 43.

199

Zadanie 44.

199
4.10 Przesuwanie wykresu o wektor
202

Zadanie 1.

202

Zadanie 2.

202

Zadanie 3.

202

Zadanie 4.

202

Zadanie 5.

203

Zadanie 6.

203

Zadanie 7.

203

Zadanie 9.

203

Zadanie 10.

203

Zadanie 11.

204

Zadanie 12.

204

Zadanie 13.

204

Zadanie 16.

204

Zadanie 17.

204

Zadanie 18.

205

Zadanie 19.

205

Zadanie 20.

205

Zadanie 21.

205

Zadanie 22.

205

Zadanie 23.

206

Zadanie 24.

206

Zadanie 25.

206

Zadanie 26.

206

Zadanie 27.

206

Zadanie 28.

206

Zadanie 29.

206
4.11. Przekształcanie wykresu przez symetrię względem osi układu współrzędnych
207

Zadanie 2.

207

Zadanie 3.

207

Zadanie 6.

208

Zadanie 8.

208

Zadanie 9.

208

Zadanie 13.

209

Zadanie 17.

210

Zadanie 18.

210

Zadanie 19.

210

Zadanie 20.

210

Zadanie 21.

210

Zadanie 22.

211

Zadanie 26.

211

Zadanie 29.

212

Zadanie 32.

213

Zadanie 33.

213

Zadanie 34.

213

Zadanie 35.

213

Zadanie 37.

213
4.13. Proporcjonalność odwrotna
217

Zadanie 2.

217

Zadanie 3.

217

Zadanie 5.

217

Zadanie 6.

217

Zadanie 9.

218

Zadanie 14.

218

Zadanie 15.

218

Zadanie 16.

219

Zadanie 17.

219

Zadanie 18.

219

Zadanie 19.

219

Zadanie 22.

219

Zadanie 23.

219

Zadanie 24.

220

Zadanie 25.

220

Zadanie 26.

220

Zadanie 27.

220

Zadanie 28.

220

Zadanie 29.

220

Zadanie 31.

220
4.14. Powtórzenie
221

Zadanie 1.

221

Zadanie 3.

221

Zadanie 4.

221

Zadanie 5.

221

Zadanie 6.

221

Zadanie 8.

222

Zadanie 9.

222

Zadanie 10.

222

Zadanie 11.

222

Zadanie 12.

223

Zadanie 13.

223

Zadanie 14.

223

Zadanie 15.

223

Zadanie 16.

223

Zadanie 17.

223

Zadanie 18.

223

Zadanie 19.

223

Zadanie 20.

224

Zadanie 22.

224

Zadanie 24.

224

Zadanie 25.

225

Zadanie 26.

225

Zadanie 28.

225

Zadanie 29.

225

Zadanie 30.

225

Zadanie 31.

225

Zadanie 32.

225

Zadanie 33.

226

Zadanie 36.

226

Zadanie 37.

226

Zadanie 38.

227

Zadanie 40.

227

Zadanie 41.

227

Zadanie 42.

227

Zadanie 43.

227

Zadanie 44.

227

Zadanie 46

227
To było na maturze
229