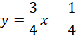
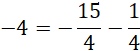
Na podstawie równania prostej l sprawdź które z podanych punktów leżą na tej prostej.
Odp. Do prostej l należą punkty A i C.
Podstaw współrzędne punktów do równania prostej, jeżeli dany punkt spełnia równanie wówczas oznacza to, że leży na prostej.
Zadanie 1.
158Zadanie 2.
158Zadanie 3.
159Zadanie 4.
159Zadanie 5.
159Zadanie 6.
159Zadanie 7.
159Zadanie 8.
159Zadanie 9.
159Zadanie 10.
159Zadanie 11.
160Zadanie 12.
160Zadanie 13.
160Zadanie 14.
160Zadanie 15.
160Zadanie 20.
161Zadanie 21.
161Zadanie 23.
161Zadanie 24.
161Zadanie 25.
161Zadanie 26.
161Zadanie 27.
162Zadanie 28.
162Zadanie 29.
162Zadanie 30.
162Zadanie 31.
162Zadanie 32.
162Zadanie 33.
163Zadanie 34.
163Zadanie 35.
163Zadanie 36.
163Zadanie 37.
163Zadanie 39.
163Zadanie 40.
164Zadanie 41.
164Zadanie 42.
164Zadanie 43.
164Zadanie 45.
164Zadanie 46.
164Zadanie 48.
164Zadanie 49.
165Zadanie 53.
165Zadanie 54.
165Zadanie 55.
165Zadanie 58.
166Zadanie 59.
166Zadanie 61.
166Zadanie 62.
166Zadanie 63.
166Zadanie 64.
167Zadanie 65.
167Zadanie 66.
167Zadanie 67.
167Zadanie 68.
167Zadanie 69.
167Zadanie 70.
167Zadanie 71.
167Zadanie 72.
168Zadanie 75.
168Zadanie 76.
168Zadanie 77.
168Zadanie 81.
168Zadanie 84.
169Zadanie 89.
169Zadanie 90.
169Zadanie 91.
169Zadanie 94.
170Zadanie 96.
170Zadanie 97.
170Zadanie 99.
170Zadanie 100.
170Zadanie 101.
171Zadanie 102.
171Zadanie 104.
171Zadanie 105.
171Zadanie 106.
171Zadanie 107.
172Zadanie 108.
172Zadanie 109.
172Zadanie 110.
172Zadanie 111.
172Zadanie 112.
172Zadanie 113.
172Zadanie 114.
173Zadanie 115.
173Zadanie 116.
173Zadanie 117.
173Zadanie 118.
173Zadanie 120.
173Zadanie 121.
174Zadanie 122.
174Zadanie 123.
174Zadanie 124.
174Zadanie 127.
174Zadanie 129.
174Zadanie 130.
175Zadanie 131.
175Zadanie 132.
175Zadanie 134.
175Zadanie 135.
175Zadanie 136.
175Zadanie 137.
176Zadanie 139.
176Zadanie 140.
176Zadanie 145.
176Zadanie 146.
176Zadanie 147.
176Zadanie 148.
177Zadanie 149.
177Zadanie 151.
177Zadanie 152.
177Zadanie 155.
177Zadanie 156.
177Zadanie 165.
178Zadanie 166.
178Zadanie 167.
178Zadanie 168.
178Zadanie 169.
179Zadanie 170.
179Zadanie 171.
179Zadanie 172.
179Zadanie 174.
180Zadanie 176.
180Zadanie 183.
180Zadanie 187.
181Zadanie 188.
181Zadanie 189.
181Zadanie 190.
181Zadanie 191.
182Zadanie 192.
182Zadanie 193.
182