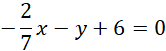
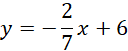
Zadanie

Zamień postać podanego równania na postać ogólną tak, aby wszystkie współczynniki były liczbami całkowitymi.

Rozwiązanie

Wyjaśnienie

Zadania z tego działu
Geometria analityczna
158
Równanie prostej
161

Zadanie 25.

161

Zadanie 26.

161

Zadanie 27.

162

Zadanie 28.

162

Zadanie 29.

162

Zadanie 30.

162

Zadanie 31.

162

Zadanie 32.

162

Zadanie 33.

163

Zadanie 34.

163

Zadanie 35.

163

Zadanie 36.

163

Zadanie 37.

163

Zadanie 39.

163

Zadanie 40.

164

Zadanie 41.

164

Zadanie 42.

164

Zadanie 43.

164

Zadanie 45.

164

Zadanie 46.

164

Zadanie 48.

164

Zadanie 49.

165

Zadanie 53.

165

Zadanie 54.

165

Zadanie 55.

165

Zadanie 58.

166

Zadanie 59.

166

Zadanie 61.

166

Zadanie 62.

166
Równanie prostej (cd.)
166

Zadanie 63.

166

Zadanie 64.

167

Zadanie 65.

167

Zadanie 66.

167

Zadanie 67.

167

Zadanie 68.

167

Zadanie 69.

167

Zadanie 70.

167

Zadanie 71.

167

Zadanie 72.

168

Zadanie 75.

168

Zadanie 76.

168

Zadanie 77.

168

Zadanie 81.

168

Zadanie 84.

169

Zadanie 89.

169

Zadanie 90.

169

Zadanie 91.

169

Zadanie 94.

170

Zadanie 96.

170

Zadanie 97.

170

Zadanie 99.

170

Zadanie 100.

170

Zadanie 101.

171
Równanie okręgu
171

Zadanie 102.

171

Zadanie 104.

171

Zadanie 105.

171

Zadanie 106.

171

Zadanie 107.

172

Zadanie 108.

172

Zadanie 109.

172

Zadanie 110.

172

Zadanie 111.

172

Zadanie 112.

172

Zadanie 113.

172

Zadanie 114.

173

Zadanie 115.

173

Zadanie 116.

173

Zadanie 117.

173

Zadanie 118.

173

Zadanie 120.

173

Zadanie 121.

174

Zadanie 122.

174

Zadanie 123.

174

Zadanie 124.

174

Zadanie 127.

174

Zadanie 129.

174
Interpretacja geometryczna układu równań
175

Zadanie 130.

175

Zadanie 131.

175

Zadanie 132.

175

Zadanie 134.

175

Zadanie 135.

175

Zadanie 136.

175

Zadanie 137.

176

Zadanie 139.

176

Zadanie 140.

176

Zadanie 145.

176

Zadanie 146.

176

Zadanie 147.

176

Zadanie 148.

177

Zadanie 149.

177

Zadanie 151.

177

Zadanie 152.

177

Zadanie 155.

177

Zadanie 156.

177

Zadanie 165.

178

Zadanie 166.

178

Zadanie 167.

178

Zadanie 168.

178

Zadanie 169.

179

Zadanie 170.

179

Zadanie 171.

179

Zadanie 172.

179

Zadanie 174.

180

Zadanie 176.

180

Zadanie 183.

180

Zadanie 187.

181

Zadanie 188.

181

Zadanie 189.

181

Zadanie 190.

181

Zadanie 191.

182

Zadanie 192.

182

Zadanie 193.

182