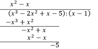
Wykonaj dzielenie wielomianu przez wielomian i ustal, czy wielomian jest podzielny przez dwumian ?
Wielomian nie jest podzielny przez dwumian
Wykonaj pisemne dzielenie wielomianu przez dwumian i skorzystaj z tego, że jeśli wielomian przy dzieleniu przez dwumian daje wynik i nie daje reszty, to wielomian jest podzielny przez dwumian .
Zadanie 1
155Zadanie 2
155Zadanie 3
155Zadanie 4
155Zadanie 5
155Zadanie 6
155Zadanie 7
155Zadanie 8
156Zadanie 9
156Zadanie 10
156Zadanie 11
156Zadanie 12
156Zadanie 13
156Zadanie 14
156Zadanie 16
157Zadanie 17
157Zadanie 18
157Zadanie 19
157Zadanie 20
157Zadanie 21
157Zadanie 22
157Zadanie 23
157Zadanie 24
157Zadanie 27
158Zadanie 30
158Zadanie 31
158Zadanie 32
158Zadanie 33
158Zadanie 34
158Zadanie 35
159Zadanie 36
159Zadanie 37
159Zadanie 38
159Zadanie 39
159Zadanie 40
159Zadanie 41
159Zadanie 44
160Zadanie 48
160Zadanie 2
162Zadanie 3
162Zadanie 4
162Zadanie 5
162Zadanie 6
162Zadanie 7
163Zadanie 8
163Zadanie 9
163Zadanie 10
163Zadanie 11
163Zadanie 12
163Zadanie 13
163Zadanie 14
164Zadanie 15
164Zadanie 16
164Zadanie 17
164Zadanie 18
164Zadanie 19
164Zadanie 20
164Zadanie 21
164Zadanie 22
164Zadanie 23
165Zadanie 24
165Zadanie 25
165Zadanie 26
165Zadanie 27
165Zadanie 28
165Zadanie 29
165Zadanie 30
166Zadanie 31
166Zadanie 32
166Zadanie 1
168Zadanie 2
168Zadanie 3
168Zadanie 5
169Zadanie 6
169Zadanie 7
169Zadanie 8
169Zadanie 9
170Zadanie 10
170Zadanie 11
171Zadanie 12
171Zadanie 13
171Zadanie 14
171Zadanie 15
171Zadanie 16
172Zadanie 17
172Zadanie 18
172Zadanie 19
172Zadanie 20
172Zadanie 21
172Zadanie 22
173Zadanie 23
173Zadanie 24
173Zadanie 25
173Zadanie 26
173Zadanie 27
173Zadanie 28
173Zadanie 29
174Zadanie 30
174Zadanie 31
174Zadanie 32
174Zadanie 1
177Zadanie 2
177Zadanie 3
177Zadanie 4
177Zadanie 5
177Zadanie 6
177Zadanie 7
177Zadanie 8
177Zadanie 9
178Zadanie 11
178Zadanie 12
178Zadanie 13
178Zadanie 14
178Zadanie 15
178Zadanie 16
179Zadanie 17
179Zadanie 18
179Zadanie 19
179Zadanie 20
179Zadanie 21
179Zadanie 22
179Zadanie 23
179Zadanie 25
180Zadanie 26
180Zadanie 37
181Zadanie 38
181Zadanie 39
181Zadanie 40
182Zadanie 41
182Zadanie 42
182Zadanie 43
182Zadanie 1
184Zadanie 2
184Zadanie 3
184Zadanie 4
184Zadanie 5
184Zadanie 6
184Zadanie 7
184Zadanie 8
184Zadanie 9
185Zadanie 10
185Zadanie 11
185Zadanie 12
185Zadanie 13
185Zadanie 14
185Zadanie 15
185Zadanie 16
185Zadanie 17
186Zadanie 18
186Zadanie 19
186Zadanie 20
186Zadanie 21
186Zadanie 22
186Zadanie 23
186Zadanie 24
186Zadanie 25
186Zadanie 26
186Zadanie 28
187Zadanie 29
187Zadanie 30
187Zadanie 31
187Zadanie 32
187Zadanie 33
187Zadanie 34
188Zadanie 35
188Zadanie 36
188Zadanie 37
188Zadanie 38
188Zadanie 39
188Zadanie 40
188Zadanie 41
188Zadanie 43
189Zadanie 45
189Zadanie 47
189Zadanie 49
189Zadanie 50
189Zadanie 51
190Zadanie 1
191Zadanie 2
191Zadanie 3
191Zadanie 4
192Zadanie 5
192Zadanie 7
192Zadanie 8
192Zadanie 9
192Zadanie 10
192Zadanie 11
192Zadanie 12
193Zadanie 13
193Zadanie 14
193Zadanie 15
193Zadanie 16
193Zadanie 17
193Zadanie 18
193Zadanie 19
193Zadanie 20
194Zadanie 21
194Zadanie 22
194Zadanie 23
194Zadanie 24
194Zadanie 25
194Zadanie 26
194Zadanie 27
195Zadanie 28
195Zadanie 29
195Zadanie 30
195Zadanie 31
195Zadanie 32
195Zadanie 33
196Zadanie 34
196Zadanie 35
196Zadanie 36
196Zadanie 37
196Zadanie 39
197Zadanie 41
197Zadanie 42
197Zadanie 2
198Zadanie 3
198Zadanie 4
198Zadanie 5
199Zadanie 6
199Zadanie 7
199Zadanie 8
199Zadanie 9
199Zadanie 10
199Zadanie 11
199Zadanie 12
200Zadanie 13
200Zadanie 14
200Zadanie 15
200Zadanie 16
200Zadanie 17
201Zadanie 18
201Zadanie 19
201Zadanie 20
201Zadanie 21
201Zadanie 22
201Zadanie 23
201Zadanie 24
201Zadanie 25
201Zadanie 26
202Zadanie 27
202Zadanie 28
202Zadanie 29
202Zadanie 30
202Zadanie 31
202Zadanie 1
204Zadanie 2
204Zadanie 3
205Zadanie 5
205Zadanie 6
205Zadanie 7
205Zadanie 8
205Zadanie 9
205Zadanie 10
205Zadanie 11
205Zadanie 12
206Zadanie 13
206Zadanie 14
206Zadanie 16
206Zadanie 17
206Zadanie 19
206Zadanie 20
206Zadanie 21
207Zadanie 24
207Zadanie 25
207Zadanie 28
207Zadanie 29
207Zadanie 30
207Zadanie 31
207Zadanie 32
207Zadanie 33
208Zadanie 34
208Zadanie 35
208Zadanie 36
208Zadanie 41
208Zadanie 1
211Zadanie 2
211Zadanie 3
211Zadanie 4
211Zadanie 5
211Zadanie 6
211Zadanie 7
211Zadanie 8
211Zadanie 9
212Zadanie 10
212Zadanie 11
212Zadanie 12
212Zadanie 14
212Zadanie 15
212Zadanie 16
212Zadanie 17
213Zadanie 18
213Zadanie 19
213Zadanie 20
213Zadanie 21
213Zadanie 22
213Zadanie 23
213Zadanie 24
213Zadanie 25
213Zadanie 26
213Zadanie 27
213Zadanie 28
214Zadanie 29
214Zadanie 30
214Zadanie 31
214Zadanie 32
214Zadanie 1
216Zadanie 2
216Zadanie 3
216Zadanie 4
216Zadanie 5
216Zadanie 6
216Zadanie 7
216Zadanie 8
216Zadanie 10
216Zadanie 11
217Zadanie 12
217Zadanie 13
217Zadanie 14
217Zadanie 15
217Zadanie 16
217Zadanie 17
217Zadanie 19
217Zadanie 21
218Zadanie 22
218Zadanie 23
218Zadanie 24
218Zadanie 25
218Zadanie 28
218Zadanie 29
218Zadanie 32
219Zadanie 33
219Zadanie 35
219Zadanie 36
219Zadanie 37
219Zadanie 38
219Zadanie 39
220Zadanie 46
220Zadanie 49
221Zadanie 51
221Zadanie 1
222Zadanie 2
222Zadanie 3
222Zadanie 4
222Zadanie 5
222Zadanie 6
222Zadanie 7
222Zadanie 8
223Zadanie 9
223Zadanie 10
223Zadanie 11
223Zadanie 12
223Zadanie 13
223Zadanie 14
223Zadanie 15
223Zadanie 16
223Zadanie 17
223Zadanie 18
224Zadanie 19
224Zadanie 21
224Zadanie 22
224Zadanie 23
224Zadanie 24
224Zadanie 25
224Zadanie 26
225Zadanie 27
225Zadanie 28
225Zadanie 29
225Zadanie 30
225Zadanie 31
225Zadanie 32
225Zadanie 33
225Zadanie 34
225Zadanie 35
225Zadanie 36
225Zadanie 49
227Zadanie 51
227Zadanie 52
227Zadanie 57
227Zadanie 59
228Zadanie 60
228Zadanie 1
230Zadanie 2
230Zadanie 3
230Zadanie 4
230Zadanie 7
231Zadanie 15
232Zadanie 18
233Zadanie 19
233Zadanie 20
233Zadanie 23
234Zadanie 26
234Zadanie 28
234Zadanie 29
234Zadanie 31
235Zadanie 36
235Zadanie 37
236Zadanie 38
236Zadanie 39
236Zadanie 40
236Zadanie 42
236Zadanie 65
239Zadanie 68
239Zadanie 69
239Zadanie 3
241Zadanie 4
241Zadanie 10
242Zadanie 12
242Zadanie 25
243Zadanie 28
244Zadanie 32
244Zadanie 43
245Zadanie 5
248Zadanie 7
248Zadanie 8
248Zadanie 9
248Zadanie 10
248Zadanie 11
248Zadanie 12
249Zadanie 13
249Zadanie 15
249Zadanie 16
249Zadanie 17
249Zadanie 18
249Zadanie 20
250Zadanie 23
250Zadanie 24
250Zadanie 28
251Zadanie 35
251Zadanie 36
251Zadanie 37
251Zadanie 40
252Zadanie 42
252Zadanie 1
253Zadanie 4
254Zadanie 7
254Zadanie 9
255Zadanie 10
255Zadanie 12
256Zadanie 14
256Zadanie 16
257Zadanie 20
257Zadanie 24
258Zadanie 26
258