W tym zadaniu musisz obliczyć wartość podanych wyrażeń.
Wykonaj działania, zaczynając od potęgowania:
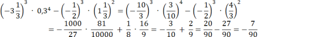
Zadanie 1
221Zadanie 3
221Zadanie 4
222Zadanie 6
222Zadanie 7
222Zadanie 9
222Zadanie 10
222Zadanie 11
223Zadanie 12
223Zadanie 14
223Zadanie 15
223Zadanie 16
224Zadanie 21
224Zadanie 1
226Zadanie 2
226Zadanie 3
226Zadanie 4
226Zadanie 5
226Zadanie 6
227Zadanie 7
227Zadanie 8
227Zadanie 9
227Zadanie 12
228Zadanie 13
228Zadanie 1
229Zadanie 3
229Zadanie 4
229Zadanie 5
230Zadanie 6
230Zadanie 7
230Zadanie 8
230Ćwiczenie A
231Ćwiczenie B
231Zadanie 1
232Zadanie 2
232Zadanie 3
232Zadanie 4
232Zadanie 5
231Zadanie 6
232Zadanie 2
234Zadanie 4
234Zadanie 5
234Zadanie 6
234Zadanie 7
235Zadanie 8
235Zadanie 9
235Zadanie 11
235Zadanie 12
235Zadanie 13
235Zadanie 14
235Zadanie 15
235Zadanie 16
236Zadanie 17
236Zadanie 18
236Ćwiczenie A
237Zadanie 4
239Zadanie 5
239Zadanie 6
239Zadanie 7
239Ćwiczenie C
241Zadanie 3
242Zadanie 4
242Zadanie 6
243Zadanie 8
243Zadanie 9
243Ćwiczenie A
244Ćwiczenie B
244Ćwiczenie C
245Ćwiczenie D
246Ćwiczenie E
247Zadanie 1
248Zadanie 2
248Zadanie 4
248Zadanie 5
248Zadanie 6
248Zadanie 7
248Zadanie 8
248Zadanie 9
249Zadanie 10
249Zadanie 12
249Zadanie 13
249Zadanie 14
249Zadanie 15
249Zadanie 16
250Zadanie 17
250Zadanie 18
250Zadanie 19
250Zadanie 21
250Zadanie 22
250Zadanie 23
250Zadanie 25
251Ćwiczenie B
252Zadanie 1
253Zadanie 2
253Zadanie 3
253Zadanie 4
253Zadanie 5
253Zadanie 6
254Zadanie 7
254Zadanie 8
254Zadanie 9
254Zadanie 10
254Zadanie 11
254Zadanie 12
254Zadanie 13
255Zadanie 14
255Zadanie 16
255Zadanie 17
255Zadanie 3
256Zadanie 7
256Zadanie 12
257Zadanie 13
257Zadanie 14
257Zadanie 1
258Zadanie 2
258Zadanie 3
258Zadanie 5
258Zadanie 7
258Zadanie 8
258Zadanie 9
258Zadanie 10
259Zadanie 11
259Zadanie 14
259Zadanie 15
259Zadanie 17
259Zadanie 18
259Zadanie 19
259Zadanie 20
259Zadanie 21
259Zadanie 23
260Zadanie 25
260Zadanie 27
260Zadanie 28
260Zadanie 29
260Zadanie 32
261Zadanie 33
261Zadanie 34
261Zadanie 35
261Zadanie 37
261Zadanie 38
261Zadanie 39
261Zadanie 41
261Zadanie 42
261Zadanie 43
262Zadanie 44
262Zadanie 45
262Zadanie 48
262Zadanie 49
262Zadanie 50
262Zadanie 51
262Zadanie 52
262Zadanie 53
262