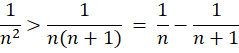
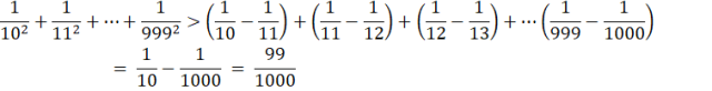
Należy wykazać nierówność bez korzystania z kalkulatora.
Dla dowolnego n naturalnego mamy:
A więc
c.k.d.
Zadanie 1.
9Zadanie 2.
9Zadanie 3.
9Zadanie 4.
9Zadanie 5.
9Zadanie 6.
9Zadanie 8.
10Zadanie 9.
10Zadanie 10.
10Zadanie 12.
10Zadanie 13.
10Zadanie 14.
10Zadanie 15.
10Zadanie 17.
10Zadanie 18.
11Zadanie 19.
11Zadanie 20.
11Zadanie 25.
11Zadanie 28.
12Zadanie 32.
12Zadanie 33.
12Zadanie 36.
12Zadanie 2.
13Zadanie 3.
13Zadanie 4.
13Zadanie 5.
13Zadanie 8.
13Zadanie 9.
13Zadanie 10.
13Zadanie 12.
14Zadanie 13.
14Zadanie 14.
14Zadanie 15.
14Zadanie 17.
14Zadanie 19.
14Zadanie 22.
15Zadanie 23.
15Zadanie 24.
15Zadanie 25.
15Zadanie 26.
15Zadanie 28.
16Zadanie 29.
16Zadanie 30.
16Zadanie 1.
9Zadanie 2.
17Zadanie 5.
17Zadanie 6.
17Zadanie 7.
17Zadanie 9.
17Zadanie 12.
18Zadanie 15.
18Zadanie 17.
19Zadanie 18.
19Zadanie 19.
19Zadanie 23.
19Zadanie 24.
19Zadanie 26.
20Zadanie 28.
20Zadanie 30.
20Zadanie 1.
21Zadanie 2.
21Zadanie 3.
21Zadanie 4.
21Zadanie 5.
21Zadanie 6.
21Zadanie 7.
21Zadanie 8.
21Zadanie 10.
22Zadanie 11.
22Zadanie 12.
22Zadanie 13.
22Zadanie 15.
22Zadanie 16.
22Zadanie 17.
23Zadanie 19.
23Zadanie 21.
24Zadanie 23.
24Zadanie 30.
24Zadanie 1.
25Zadanie 2.
25Zadanie 3.
25Zadanie 4.
25Zadanie 5.
25Zadanie 6.
25Zadanie 7.
25Zadanie 10.
26Zadanie 11.
26Zadanie 12.
26Zadanie 13.
26Zadanie 14.
26Zadanie 15.
26Zadanie 16.
26Zadanie 17.
27Zadanie 18.
27Zadanie 20.
27Zadanie 21.
27Zadanie 22.
27Zadanie 23.
27Zadanie 24.
27Zadanie 25.
27Zadanie 26.
28Zadanie 27.
28Zadanie 28.
28Zadanie 29.
28Zadanie 1.
29Zadanie 2.
29Zadanie 3.
29Zadanie 4.
29Zadanie 5.
29Zadanie 6.
29Zadanie 8.
30Zadanie 9.
30Zadanie 11.
30Zadanie 12.
30Zadanie 13.
30Zadanie 14.
30Zadanie 17.
31Zadanie 18.
31Zadanie 19.
31Zadanie 20.
31Zadanie 23.
31Zadanie 24.
31Zadanie 25.
32Zadanie 26.
32Zadanie 27.
32Zadanie 28.
32Zadanie 29.
32Zadanie 30.
32Zadanie 1.
33Zadanie 2.
33Zadanie 3.
33Zadanie 4.
33Zadanie 5.
33Zadanie 6.
33Zadanie 7.
33Zadanie 8.
34Zadanie 9.
34Zadanie 10.
34Zadanie 11.
34Zadanie 12.
34Zadanie 13.
34Zadanie 16.
34Zadanie 17.
35Zadanie 18.
35Zadanie 20.
35Zadanie 22.
35Zadanie 23.
35Zadanie 24.
35Zadanie 25.
36Zadanie 26.
36Zadanie 28.
36Zadanie 29.
36Zadanie 30.
36Zadanie 31.
36Zadanie 32.
36Zadanie 1.
37Zadanie 2.
37Zadanie 3.
37Zadanie 4.
37Zadanie 5.
37Zadanie 6.
37Zadanie 7.
37Zadanie 8.
37Zadanie 9.
37Zadanie 10.
37Zadanie 11.
38Zadanie 12.
38Zadanie 13.
38Zadanie 14.
38Zadanie 15.
38Zadanie 18.
39Zadanie 19.
39Zadanie 20.
39Zadanie 21.
39Zadanie 22.
39Zadanie 23.
39Zadanie 1.
40Zadanie 2.
40Zadanie 3.
40Zadanie 4.
40Zadanie 5.
40Zadanie 6.
40Zadanie 7.
40Zadanie 8.
40Zadanie 9.
40Zadanie 10.
40Zadanie 11.
41Zadanie 12.
41Zadanie 13.
41Zadanie 14.
41Zadanie 15.
41Zadanie 16.
41Zadanie 17.
41Zadanie 18.
41Zadanie 19.
41Zadanie 21.
42Zadanie 22.
42Zadanie 23.
42Zadanie 24.
42Zadanie 25.
42Zadanie 26.
42Zadanie 27.
42Zadanie 28.
42Zadanie 29.
43Zadanie 30.
43Zadanie 31.
43Zadanie 32.
43Zadanie 34.
43Zadanie 36.
43Zadanie 1.
44Zadanie 2.
44Zadanie 3.
44Zadanie 4.
44Zadanie 6.
44Zadanie 7.
44Zadanie 8.
44Zadanie 9.
45Zadanie 12.
45Zadanie 13.
45Zadanie 14.
45Zadanie 15.
45Zadanie 16.
45Zadanie 17.
45Zadanie 18.
46Zadanie 19.
46Zadanie 20.
46Zadanie 21.
46Zadanie 25.
46Zadanie 26.
46Zadanie 2.
47Zadanie 3.
47Zadanie 4.
47Zadanie 5.
47Zadanie 6.
47Zadanie 7.
48Zadanie 8.
48Zadanie 12.
48Zadanie 15.
49Zadanie 16.
49Zadanie 1.
51Zadanie 2.
51Zadanie 1.
54Zadanie 2.
54Zadanie 3.
54Zadanie 4.
54Zadanie 5.
54Zadanie 6.
54Zadanie 7.
54Zadanie 8.
55Zadanie 9.
55Zadanie 10.
55Zadanie 11.
55Zadanie 12.
55Zadanie 14.
55Zadanie 15.
55Zadanie 16.
56Zadanie 17.
56Zadanie 18.
56Zadanie 19.
56Zadanie 20.
56Zadanie 21.
56Zadanie 22.
56Zadanie 23.
56Zadanie 24.
57Zadanie 25.
57Zadanie 26.
57Zadanie 28.
57