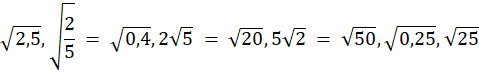
Zadanie

Należy uporządkować, bez pomocy kalkulatora, podane liczby od najmniejszej do największej.

Rozwiązanie

Wyjaśnienie

Zadania z tego działu
1. Liczby rzeczywiste
7
1.1. Liczby naturalne
9

Zadanie 1.

9

Zadanie 2.

9

Zadanie 3.

9

Zadanie 4.

9

Zadanie 5.

9

Zadanie 6.

9

Zadanie 8.

10

Zadanie 9.

10

Zadanie 10.

10

Zadanie 12.

10

Zadanie 13.

10

Zadanie 14.

10

Zadanie 15.

10

Zadanie 17.

10

Zadanie 18.

11

Zadanie 19.

11

Zadanie 20.

11

Zadanie 25.

11

Zadanie 28.

12

Zadanie 32.

12

Zadanie 33.

12

Zadanie 36.

12
1.2. Liczby całkowite. Liczby wymierne
13

Zadanie 2.

13

Zadanie 3.

13

Zadanie 4.

13

Zadanie 5.

13

Zadanie 8.

13

Zadanie 9.

13

Zadanie 10.

13

Zadanie 12.

14

Zadanie 13.

14

Zadanie 14.

14

Zadanie 15.

14

Zadanie 17.

14

Zadanie 19.

14

Zadanie 22.

15

Zadanie 23.

15

Zadanie 24.

15

Zadanie 25.

15

Zadanie 26.

15

Zadanie 28.

16

Zadanie 29.

16

Zadanie 30.

16
1.4. Rozwinięcie dziesiętne liczby rzeczywistej
21

Zadanie 1.

21

Zadanie 2.

21

Zadanie 3.

21

Zadanie 4.

21

Zadanie 5.

21

Zadanie 6.

21

Zadanie 7.

21

Zadanie 8.

21

Zadanie 10.

22

Zadanie 11.

22

Zadanie 12.

22

Zadanie 13.

22

Zadanie 15.

22

Zadanie 16.

22

Zadanie 17.

23

Zadanie 19.

23

Zadanie 21.

24

Zadanie 23.

24

Zadanie 30.

24
1.5. Pierwiastek kwadratowy
25

Zadanie 1.

25

Zadanie 2.

25

Zadanie 3.

25

Zadanie 4.

25

Zadanie 5.

25

Zadanie 6.

25

Zadanie 7.

25

Zadanie 10.

26

Zadanie 11.

26

Zadanie 12.

26

Zadanie 13.

26

Zadanie 14.

26

Zadanie 15.

26

Zadanie 16.

26

Zadanie 17.

27

Zadanie 18.

27

Zadanie 20.

27

Zadanie 21.

27

Zadanie 22.

27

Zadanie 23.

27

Zadanie 24.

27

Zadanie 25.

27

Zadanie 26.

28

Zadanie 27.

28

Zadanie 28.

28

Zadanie 29.

28
1.6. Pierwiastek sześcienny
29

Zadanie 1.

29

Zadanie 2.

29

Zadanie 3.

29

Zadanie 4.

29

Zadanie 5.

29

Zadanie 6.

29

Zadanie 8.

30

Zadanie 9.

30

Zadanie 11.

30

Zadanie 12.

30

Zadanie 13.

30

Zadanie 14.

30

Zadanie 17.

31

Zadanie 18.

31

Zadanie 19.

31

Zadanie 20.

31

Zadanie 23.

31

Zadanie 24.

31

Zadanie 25.

32

Zadanie 26.

32

Zadanie 27.

32

Zadanie 28.

32

Zadanie 29.

32

Zadanie 30.

32
1.7. Potęga o wykładniku całkowitym
33

Zadanie 1.

33

Zadanie 2.

33

Zadanie 3.

33

Zadanie 4.

33

Zadanie 5.

33

Zadanie 6.

33

Zadanie 7.

33

Zadanie 8.

34

Zadanie 9.

34

Zadanie 10.

34

Zadanie 11.

34

Zadanie 12.

34

Zadanie 13.

34

Zadanie 16.

34

Zadanie 17.

35

Zadanie 18.

35

Zadanie 20.

35

Zadanie 22.

35

Zadanie 23.

35

Zadanie 24.

35

Zadanie 25.

36

Zadanie 26.

36

Zadanie 28.

36

Zadanie 29.

36

Zadanie 30.

36

Zadanie 31.

36

Zadanie 32.

36
1.8. Notacja wykładnicza
37

Zadanie 1.

37

Zadanie 2.

37

Zadanie 3.

37

Zadanie 4.

37

Zadanie 5.

37

Zadanie 6.

37

Zadanie 7.

37

Zadanie 8.

37

Zadanie 9.

37

Zadanie 10.

37

Zadanie 11.

38

Zadanie 12.

38

Zadanie 13.

38

Zadanie 14.

38

Zadanie 15.

38

Zadanie 18.

39

Zadanie 19.

39

Zadanie 20.

39

Zadanie 21.

39

Zadanie 22.

39

Zadanie 23.

39
1.9. Potęga o wykładniku wymiernym
40

Zadanie 1.

40

Zadanie 2.

40

Zadanie 3.

40

Zadanie 4.

40

Zadanie 5.

40

Zadanie 6.

40

Zadanie 7.

40

Zadanie 8.

40

Zadanie 9.

40

Zadanie 10.

40

Zadanie 11.

41

Zadanie 12.

41

Zadanie 13.

41

Zadanie 14.

41

Zadanie 15.

41

Zadanie 16.

41

Zadanie 17.

41

Zadanie 18.

41

Zadanie 19.

41

Zadanie 21.

42

Zadanie 22.

42

Zadanie 23.

42

Zadanie 24.

42

Zadanie 25.

42

Zadanie 26.

42

Zadanie 27.

42

Zadanie 28.

42

Zadanie 29.

43

Zadanie 30.

43

Zadanie 31.

43

Zadanie 32.

43

Zadanie 34.

43

Zadanie 36.

43
1.10. Logarytm i jego własności
44

Zadanie 1.

44

Zadanie 2.

44

Zadanie 3.

44

Zadanie 4.

44

Zadanie 6.

44

Zadanie 7.

44

Zadanie 8.

44

Zadanie 9.

45

Zadanie 12.

45

Zadanie 13.

45

Zadanie 14.

45

Zadanie 15.

45

Zadanie 16.

45

Zadanie 17.

45

Zadanie 18.

46

Zadanie 19.

46

Zadanie 20.

46

Zadanie 21.

46

Zadanie 25.

46

Zadanie 26.

46
1.13. Powtórzenie
54

Zadanie 1.

54

Zadanie 2.

54

Zadanie 3.

54

Zadanie 4.

54

Zadanie 5.

54

Zadanie 6.

54

Zadanie 7.

54

Zadanie 8.

55

Zadanie 9.

55

Zadanie 10.

55

Zadanie 11.

55

Zadanie 12.

55

Zadanie 14.

55

Zadanie 15.

55

Zadanie 16.

56

Zadanie 17.

56

Zadanie 18.

56

Zadanie 19.

56

Zadanie 20.

56

Zadanie 21.

56

Zadanie 22.

56

Zadanie 23.

56

Zadanie 24.

57

Zadanie 25.

57

Zadanie 26.

57

Zadanie 28.

57