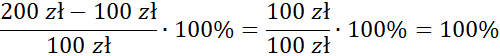
Cena wynajęcia pokoju w kwietniu jest o 30 zł wyższa niż w marcu, czyli jest o 25% wyższa. W czerwcu pokoje są 25% tańsze niż w lipcu. Największa obniżka cen pokoi – aż o 50% następuje na przełomie września i października, zatem ceny we wrześniu są o 100% wyższe niż w październiku.
O ile % cena pokoju w kwietniu jest wyższa niż w marcu:
O ile % cena pokoju w czerwcu jest niższa niż w lipcu:
O ile % cena pokoju we wrześniu jest niższa niż w październiku:
O ile % cena pokoju we wrześniu jest wyższa niż w październiku: