Uzupełnij zdanie właściwym procentem.
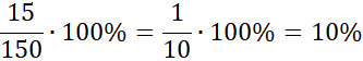
Kwota 15 zł stanowi … % kwoty 150 zł.
Oblicz, jakim procentem liczby 150 jest 15:
Ćwiczenie 1.
Podpunkt a)
Podpunkt b)
Podpunkt c)
Podpunkt d)
Ćwiczenie 2.
Ćwiczenie 3.
Ćwiczenie 4.
Podpunkt e)
Podpunkt f)
Podpunkt g)
Podpunkt h)
Podpunkt i)
Podpunkt j)
Ćwiczenie 5.
Ćwiczenie 6.