Na diagramie przedstaw informacje o wydatkach państwa Jankowskich. Możesz skorzystać z kątomierza.
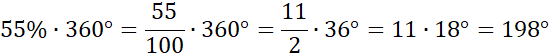
Przelicz procenty z kąta 360 stopni, czyli z kąta pełnego, który zajmuje cały diagram.
Ćwiczenie 1.
Podpunkt a)
Podpunkt b)
Podpunkt c)
Podpunkt d)
Ćwiczenie 2.
Ćwiczenie 3.
Ćwiczenie 4.
Podpunkt e)
Podpunkt f)
Podpunkt g)
Podpunkt h)
Podpunkt i)
Podpunkt j)
Ćwiczenie 5.
Ćwiczenie 6.